Официальное опубликование правовых актов
ОФИЦИАЛЬНОЕ ОПУБЛИКОВАНИЕ
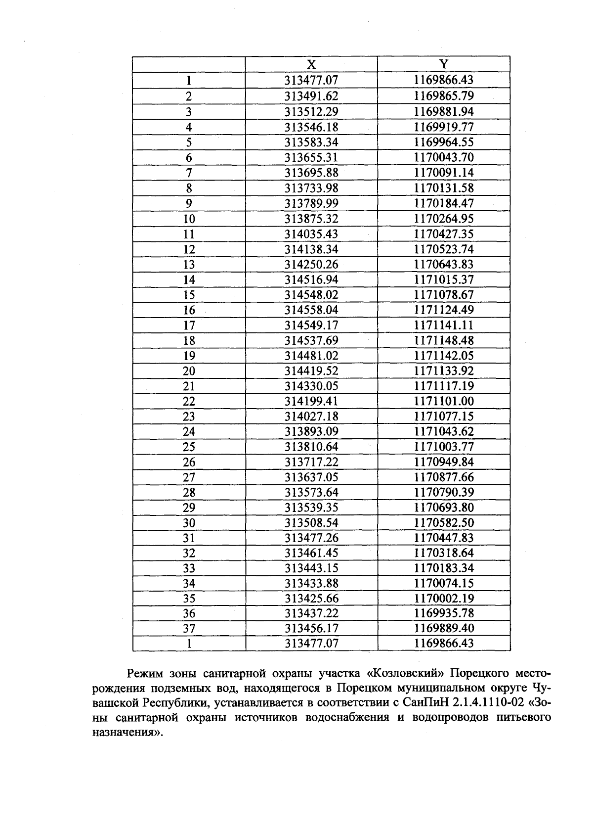
Приказ Министерства природных ресурсов и экологии Чувашской Республики от 08.10.2025 № 720
"Об установлении зоны санитарной охраны участка "Козловский" Порецкого месторождения подземных вод, находящегося в Порецком муниципальном округе Чувашской Республики"
(Зарегистрирован 21.10.2025 № 10713)
Номер опубликования: 2101202510230002
Дата опубликования: 23.10.2025
Страница №7 из 7:
Увеличить