Приказ Министерства природных ресурсов и экологии Чувашской Республики от 01.07.2025 № 524
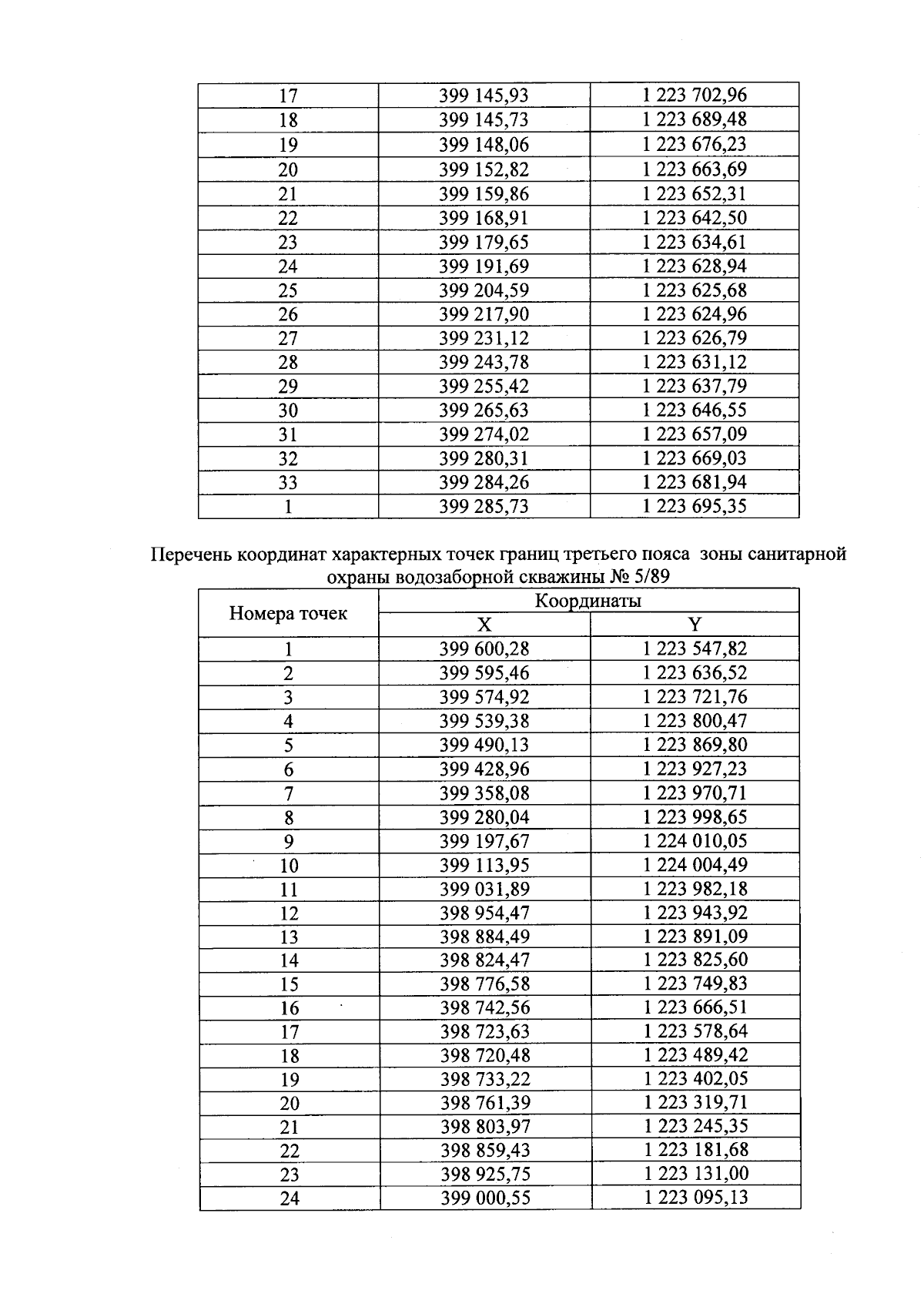
"Об установлении зоны санитарной охраны водозаборной скважины № 5/89, расположенной в д. Василькасы Чебоксарского муниципального округа Чувашской Республики"
(Зарегистрирован 25.07.2025 № 10470)
"Об установлении зоны санитарной охраны водозаборной скважины № 5/89, расположенной в д. Василькасы Чебоксарского муниципального округа Чувашской Республики"
(Зарегистрирован 25.07.2025 № 10470)
Номер опубликования: 2101202507300010
Дата опубликования:
30.07.2025
