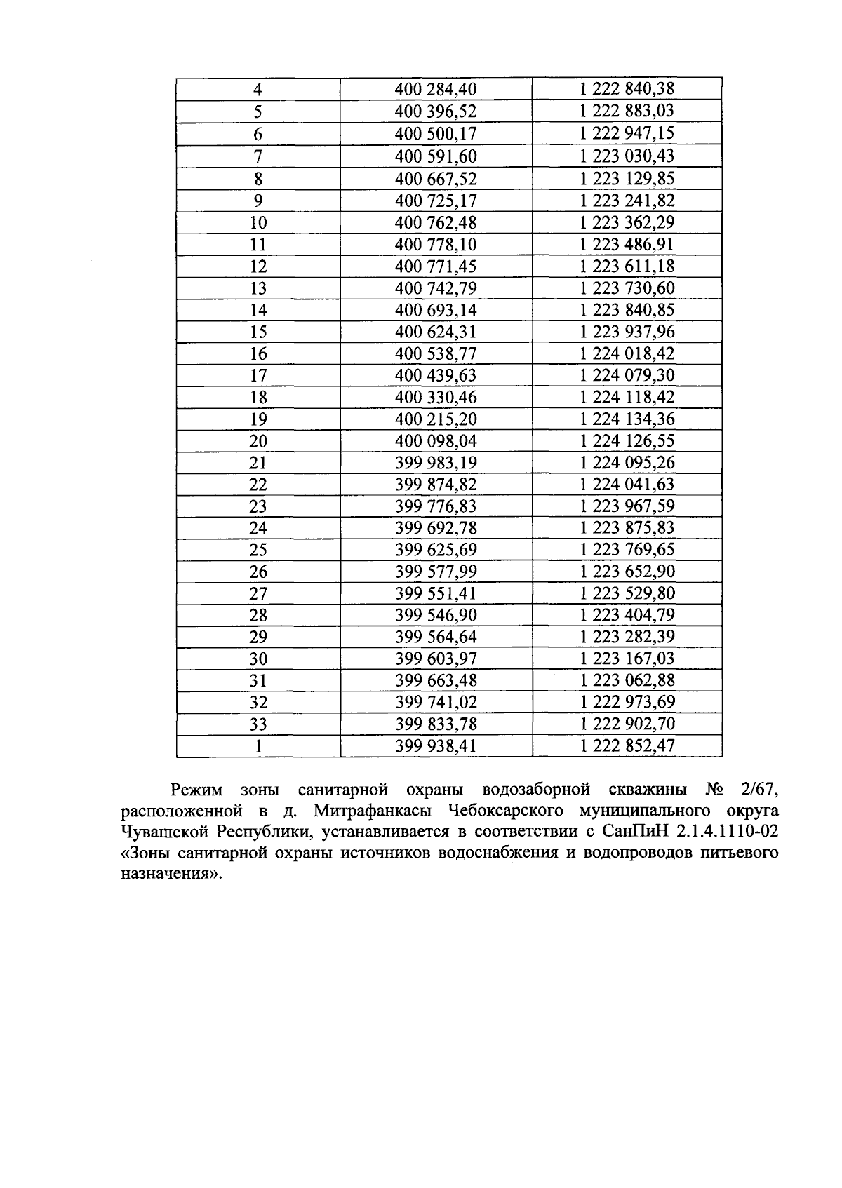
Приказ Министерства природных ресурсов и экологии Чувашской Республики от 01.07.2025 № 527
"Об установлении зоны санитарной охраны водозаборной скважины № 2/67, расположенной в д. Митрафанкасы Чебоксарского муниципального округа Чувашской Республики"
(Зарегистрирован 25.07.2025 № 10473)
"Об установлении зоны санитарной охраны водозаборной скважины № 2/67, расположенной в д. Митрафанкасы Чебоксарского муниципального округа Чувашской Республики"
(Зарегистрирован 25.07.2025 № 10473)
Номер опубликования: 2101202507300006
Дата опубликования:
30.07.2025
