Официальное опубликование правовых актов
ОФИЦИАЛЬНОЕ ОПУБЛИКОВАНИЕ
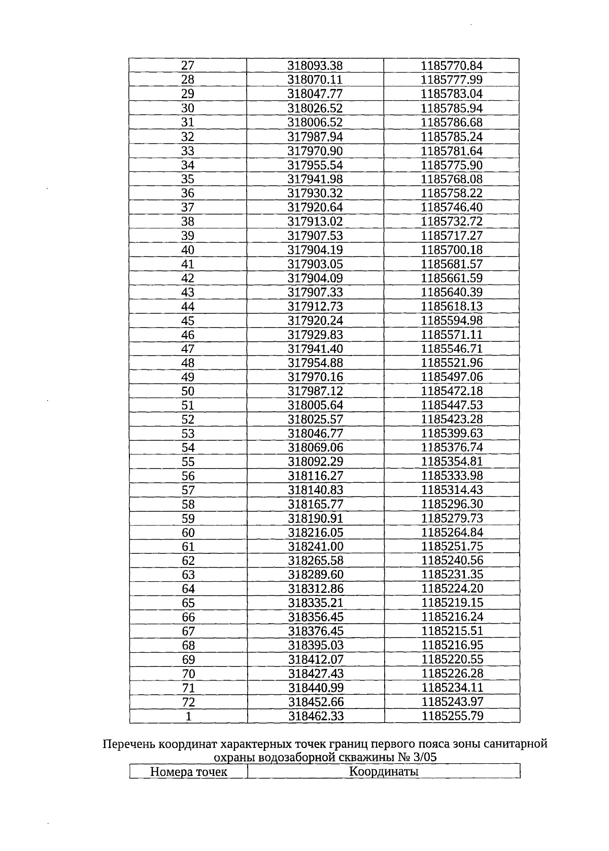
Приказ Министерства природных ресурсов и экологии Чувашской Республики от 05.03.2025 № 115
"Об установлении зон санитарной охраны водозаборных скважин № 1/71, № 2/82 и № 3/05, расположенных в с. Русские Алгаши и д. Чувашские Алгаши Шумерлинского муниципального округа Чувашской Республики"
(Зарегистрирован 26.03.2025 № 10136)
Номер опубликования: 2101202503270010
Дата опубликования: 27.03.2025
Страница №8 из 12:
Увеличить