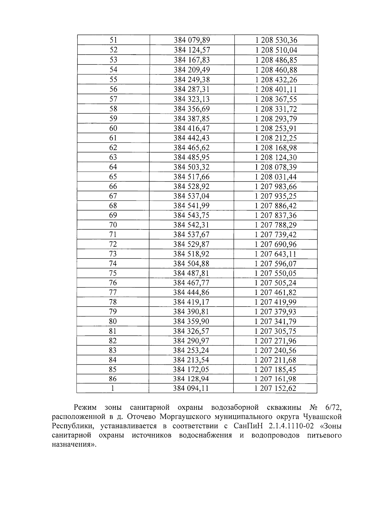
Приказ Министерства природных ресурсов и экологии Чувашской Республики от 12.02.2025 № 66
"Об установлении зоны санитарной охраны водозаборной скважины № 6/72, расположенной в д. Оточево Моргаушского муниципального округа Чувашской Республики"
(Зарегистрирован 11.03.2025 № 10076)
"Об установлении зоны санитарной охраны водозаборной скважины № 6/72, расположенной в д. Оточево Моргаушского муниципального округа Чувашской Республики"
(Зарегистрирован 11.03.2025 № 10076)
Номер опубликования: 2101202503140003
Дата опубликования:
14.03.2025
