Официальное опубликование правовых актов
ОФИЦИАЛЬНОЕ ОПУБЛИКОВАНИЕ
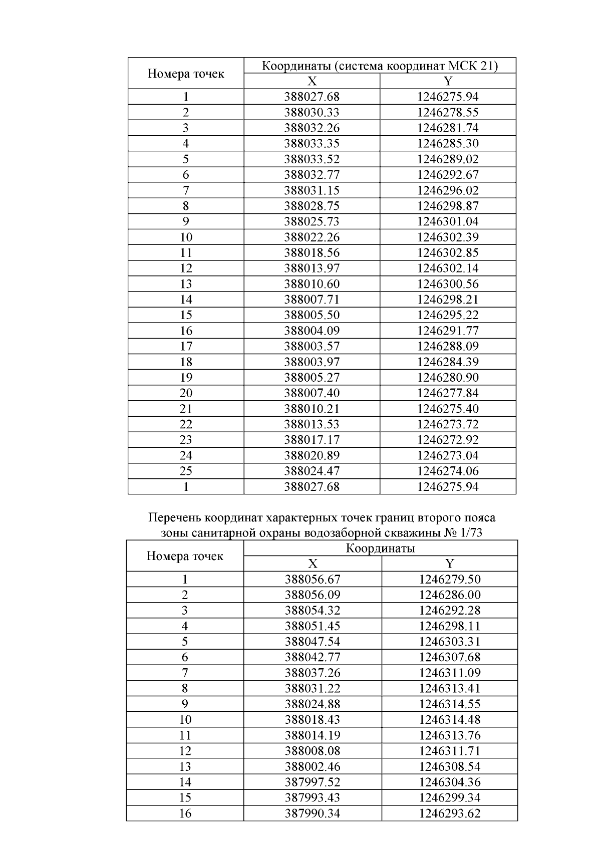
Приказ Министерства природных ресурсов и экологии Чувашской Республики от 21.10.2024 № 702
"Об установлении зон санитарной охраны шести водозаборных скважин, расположенных в д. Коснарбоси, д. Липсеры, д. Оттекасы, д. Синьялы и д. Чирши Цивильского муниципального округа Чувашской Республики"
(Зарегистрирован 13.11.2024 № 9703)
Номер опубликования: 2101202411180001
Дата опубликования: 18.11.2024
Страница №15 из 21:
Увеличить