Официальное опубликование правовых актов
ОФИЦИАЛЬНОЕ ОПУБЛИКОВАНИЕ
Приказ Министерства культуры, по делам национальностей и архивного дела Чувашской Республики от 22.10.2024 № 01-05/549
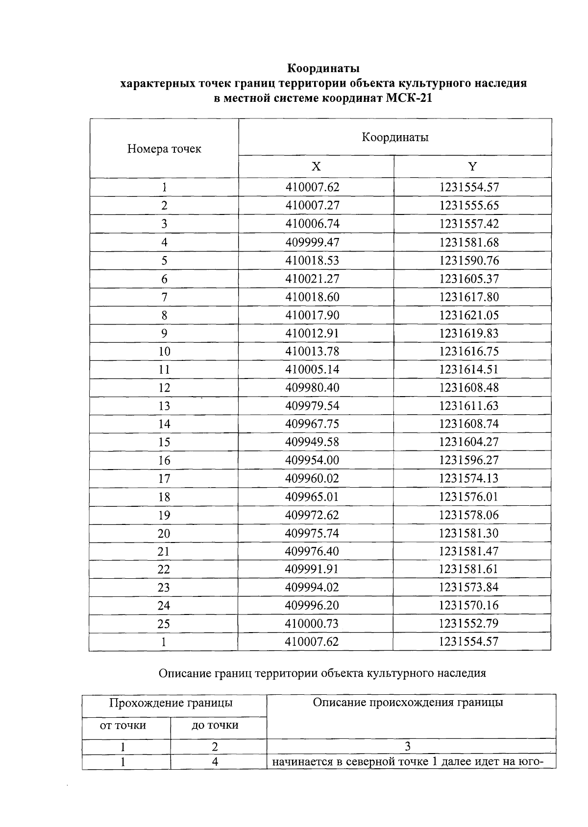
"Об утверждении границ территории объекта культурного наследия (памятника истории и культуры) регионального (республиканского) значения "Каменный двухэтажный дом", 1938 г., расположенного по адресу: Чувашская Республика, г. Чебоксары, бульвар Купца Ефремова, д. 16"
(Зарегистрирован 13.11.2024 № 9710)
Номер опубликования: 2101202411150011
Дата опубликования: 15.11.2024
Страница №3 из 4:
Увеличить