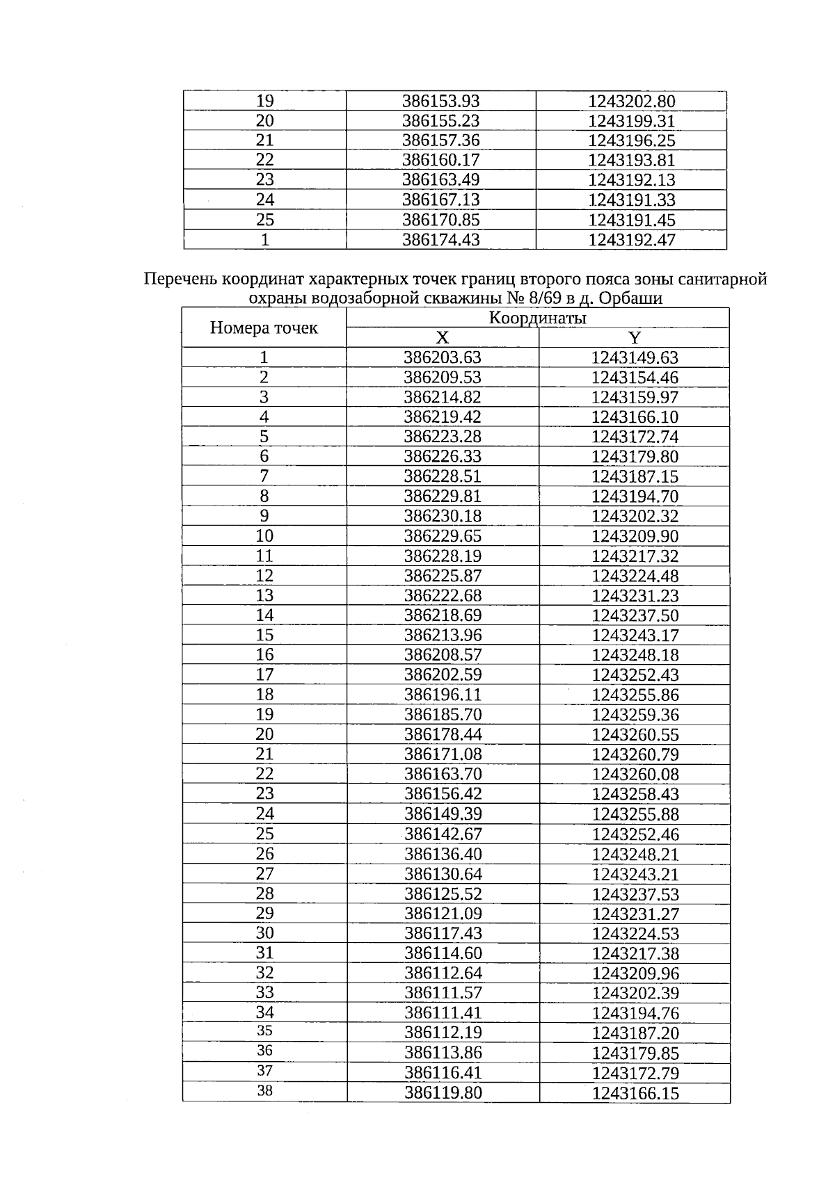
Приказ Министерства природных ресурсов и экологии Чувашской Республики от 27.09.2024 № 653
"Об установлении зон санитарной охраны водозаборных скважин, расположенных в д. Вторые Вурманкасы, д. Красная Горка, д. Орбаши Цивильского муниципального округа Чувашской Республики"
(Зарегистрирован 23.10.2024 № 9672)
"Об установлении зон санитарной охраны водозаборных скважин, расположенных в д. Вторые Вурманкасы, д. Красная Горка, д. Орбаши Цивильского муниципального округа Чувашской Республики"
(Зарегистрирован 23.10.2024 № 9672)
Номер опубликования: 2101202410250004
Дата опубликования:
25.10.2024
