Официальное опубликование правовых актов
ОФИЦИАЛЬНОЕ ОПУБЛИКОВАНИЕ
Приказ Министерства природных ресурсов и экологии Чувашской Республики от 14.08.2024 № 558
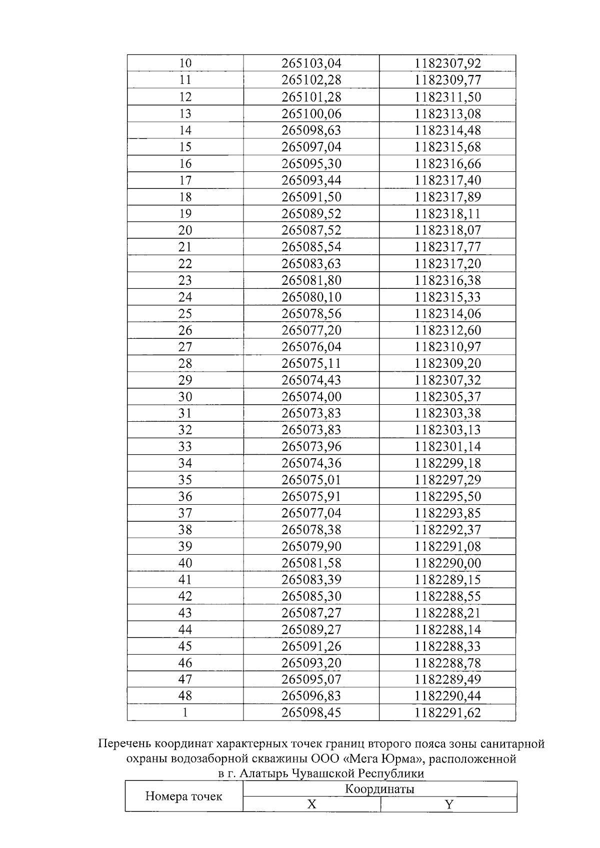
"Об установлении зоны санитарной охраны водозаборной скважины ООО "Мега Юрма", расположенной в г. Алатырь Чувашской Республики"
(Зарегистрирован 27.08.2024 № 9600)
Номер опубликования: 2101202408280001
Дата опубликования: 28.08.2024
Страница №3 из 9:
Увеличить