Официальное опубликование правовых актов
ОФИЦИАЛЬНОЕ ОПУБЛИКОВАНИЕ
Приказ Министерства культуры, по делам национальностей и архивного дела Чувашской Республики от 19.07.2024 № 01-05/398
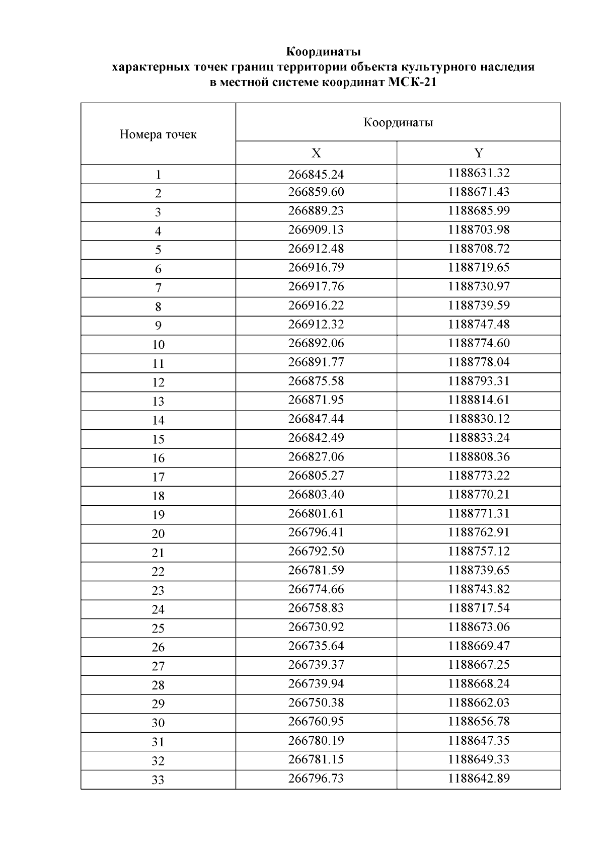
"Об утверждении границ территории объекта культурного наследия (памятника истории и культуры) регионального (республиканского) значения "Комплекс Свято-Троицкого монастыря", конец XVI в., расположенного по адресу: Чувашская Республика, Алатырский муниципальный округ, г. Алатырь, ул. Троицкая, д. 22"
(Зарегистрирован 13.08.2024 № 9557)
Номер опубликования: 2101202408150004
Дата опубликования: 15.08.2024
Страница №3 из 4:
Увеличить