Приказ Министерства культуры, по делам национальностей и архивного дела Чувашской Республики от 17.07.2024 № 01-05/366
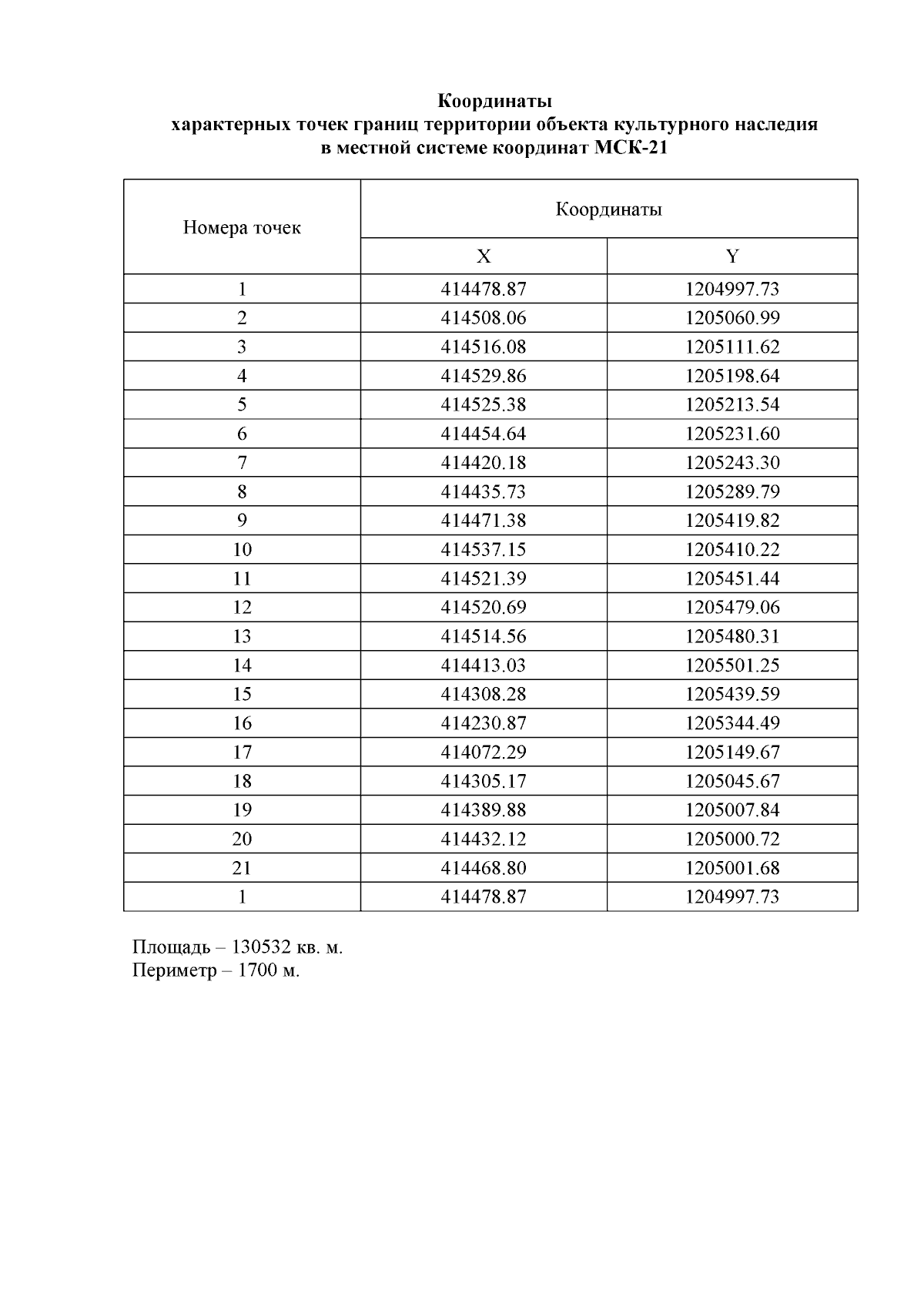
"Об утверждении границ территории объекта культурного наследия (памятника истории и культуры) регионального (республиканского) значения "Участок леса, засаженный культурой дуба в 1896-1912 гг. лесничим Б.И. Гузовским", 1896-1912 гг., расположенного по адресу: Чувашская Республика, Моргаушский муниципальный округ, Ильинское лесничество"
(Зарегистрирован 08.08.2024 № 9510)
"Об утверждении границ территории объекта культурного наследия (памятника истории и культуры) регионального (республиканского) значения "Участок леса, засаженный культурой дуба в 1896-1912 гг. лесничим Б.И. Гузовским", 1896-1912 гг., расположенного по адресу: Чувашская Республика, Моргаушский муниципальный округ, Ильинское лесничество"
(Зарегистрирован 08.08.2024 № 9510)
Номер опубликования: 2101202408090015
Дата опубликования:
09.08.2024
