Официальное опубликование правовых актов
ОФИЦИАЛЬНОЕ ОПУБЛИКОВАНИЕ
Приказ Министерства культуры, по делам национальностей и архивного дела Чувашской Республики от 18.07.2024 № 01-05/377
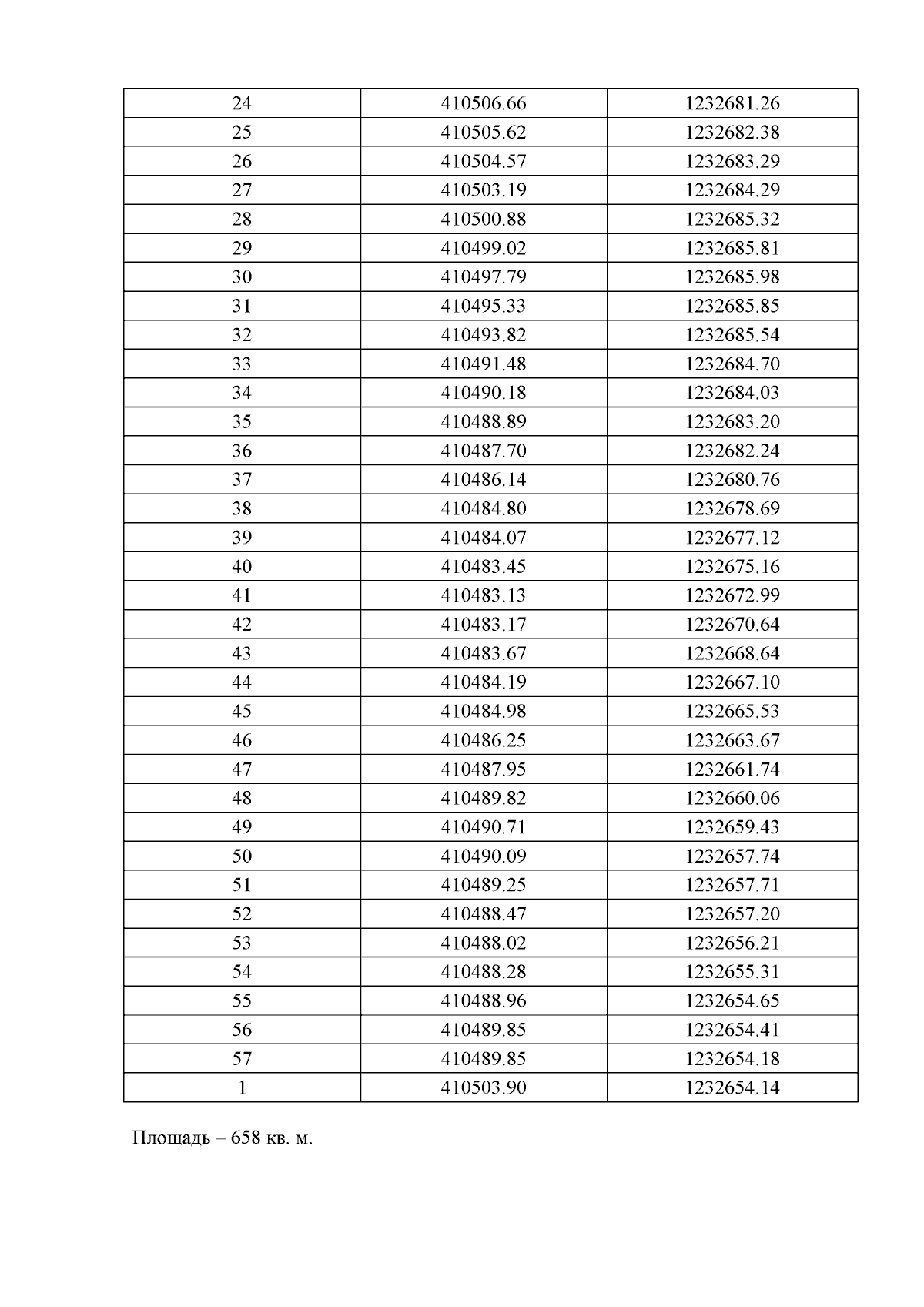
"Об утверждении границ территории объекта культурного наследия (памятника истории и культуры) регионального (республиканского) значения "Монумент в честь воинов-чебоксарцев, погибших в Великой Отечественной войне 1941-1945 гг.", 1980 г., расположенного по адресу: Чувашская Республика, г. Чебоксары, ул. Зои Яковлевой, сооружение 54В"
(Зарегистрирован 08.08.2024 № 9516)
Номер опубликования: 2101202408090009
Дата опубликования: 09.08.2024
Страница №4 из 4:
Увеличить