Официальное опубликование правовых актов
ОФИЦИАЛЬНОЕ ОПУБЛИКОВАНИЕ
Приказ Министерства природных ресурсов и экологии Чувашской Республики от 10.07.2024 № 483
"Об установлении зоны санитарной охраны водозаборных скважин д. Голов Красноармейского муниципального округа Чувашской Республики"
(Зарегистрирован 31.07.2024 № 9463)
Номер опубликования: 2101202408020002
Дата опубликования: 02.08.2024
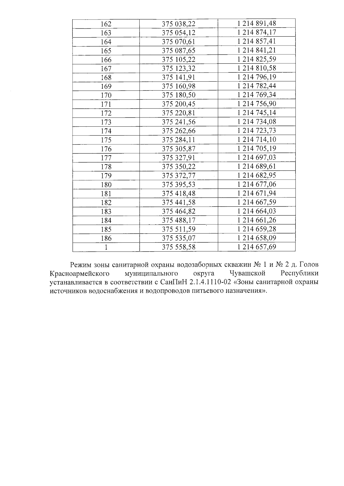
Страница №8 из 8:
Увеличить