Официальное опубликование правовых актов
ОФИЦИАЛЬНОЕ ОПУБЛИКОВАНИЕ
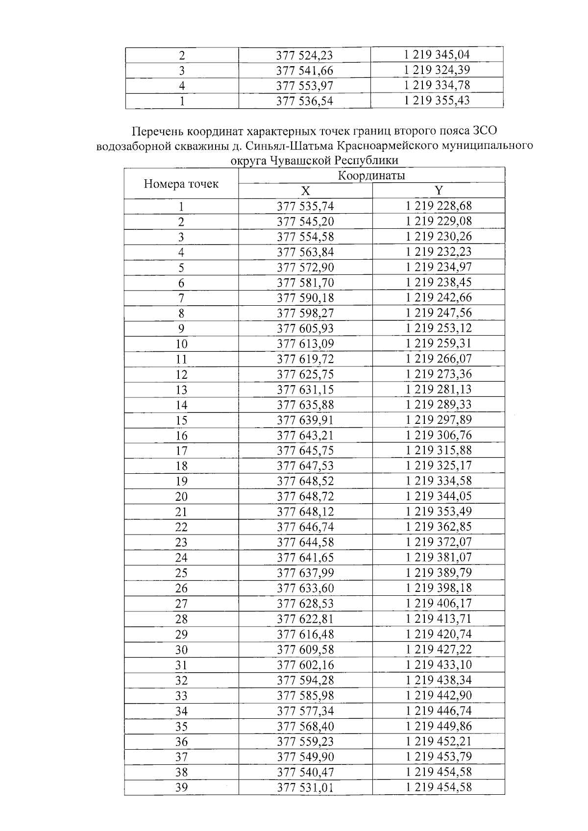
Приказ Министерства природных ресурсов и экологии Чувашской Республики от 10.07.2024 № 484
"Об установлении зоны санитарной охраны водозаборных скважин д. Синьял-Шатьма Красноармейского муниципального округа Чувашской Республики"
(Зарегистрирован 31.07.2024 № 9464)
Номер опубликования: 2101202408020001
Дата опубликования: 02.08.2024
Страница №3 из 8:
Увеличить