Официальное опубликование правовых актов
ОФИЦИАЛЬНОЕ ОПУБЛИКОВАНИЕ
Приказ Министерства природных ресурсов и экологии Чувашской Республики от 27.05.2024 № 368
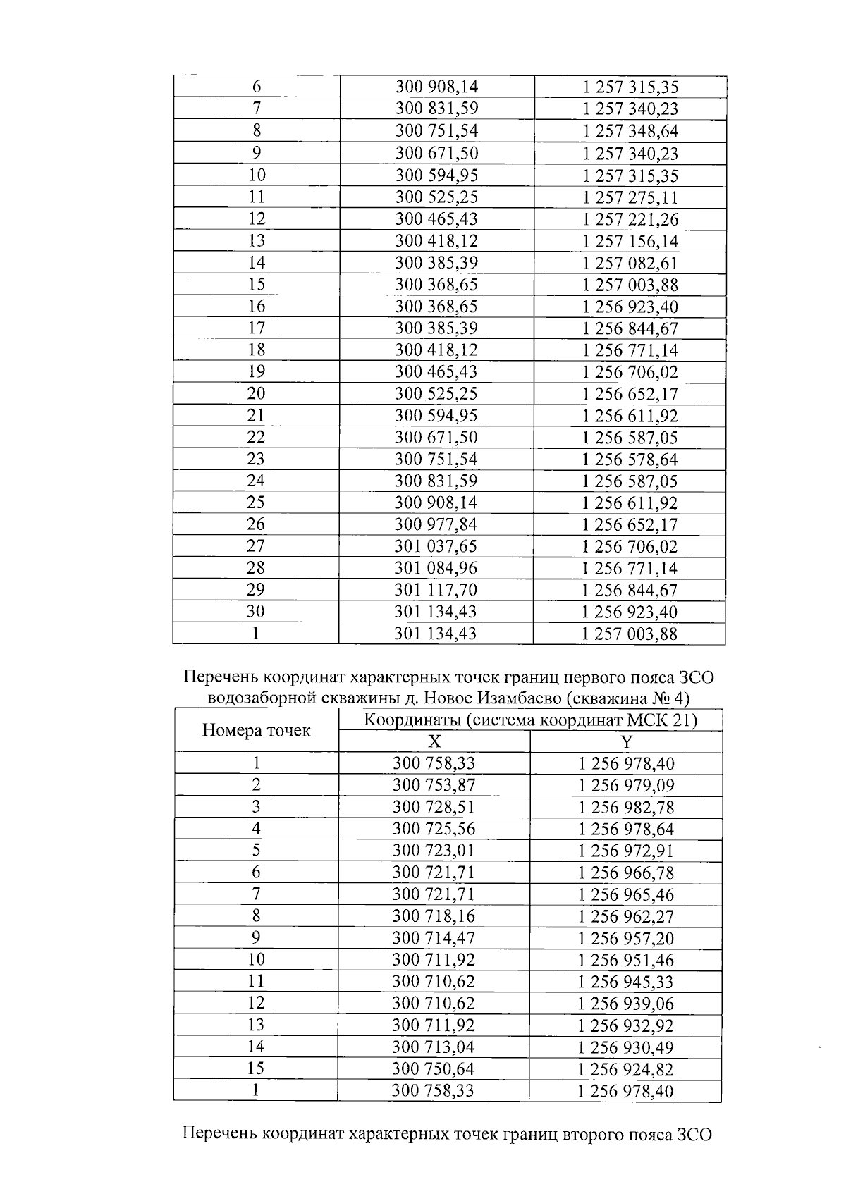
"Об установлении зон санитарной охраны водозаборных участков, расположенных в д. Полевое Шептахово, д. Полевые Инели, д. Новое Изамбаево Комсомольского муниципального округа Чувашской Республики"
(Зарегистрирован 30.05.2024 № 9315)
Номер опубликования: 2101202405310001
Дата опубликования: 31.05.2024
Страница №9 из 11:
Увеличить