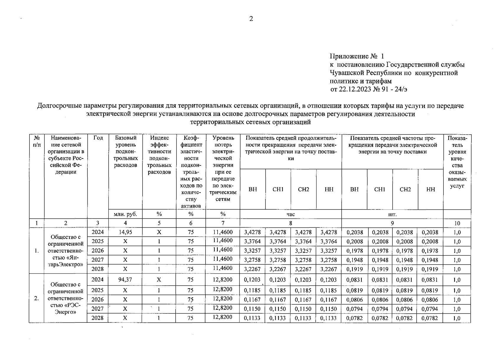
Постановление Государственной службы Чувашской Республики по конкурентной политике и тарифам от 22.12.2023 № 91-24/э
"Об установлении индивидуальных тарифов на услуги по передаче электрической энергии для взаиморасчетов между сетевыми организациями на территории Чувашской Республики на 2024-2028 годы"
(Зарегистрирован 27.12.2023 № 9023)
"Об установлении индивидуальных тарифов на услуги по передаче электрической энергии для взаиморасчетов между сетевыми организациями на территории Чувашской Республики на 2024-2028 годы"
(Зарегистрирован 27.12.2023 № 9023)
Номер опубликования: 2101202312270012
Дата опубликования:
27.12.2023
