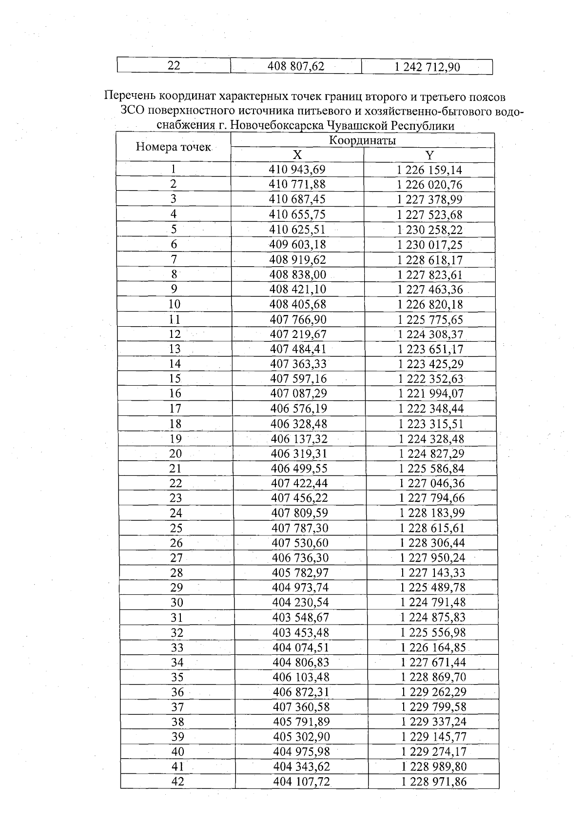
Приказ Министерства природных ресурсов и экологии Чувашской Республики от 30.10.2023 № 784
"Об установлении зоны санитарной охраны поверхностного источника питьевого и хозяйственно-бытового водоснабжения г. Новочебоксарска Чувашской Республики"
(Зарегистрирован 09.11.2023 № 8873)
"Об установлении зоны санитарной охраны поверхностного источника питьевого и хозяйственно-бытового водоснабжения г. Новочебоксарска Чувашской Республики"
(Зарегистрирован 09.11.2023 № 8873)
Номер опубликования: 2101202311130001
Дата опубликования:
13.11.2023
