Приказ Министерства культуры, по делам национальностей и архивного дела Чувашской Республики от 13.10.2023 № 01-05/412
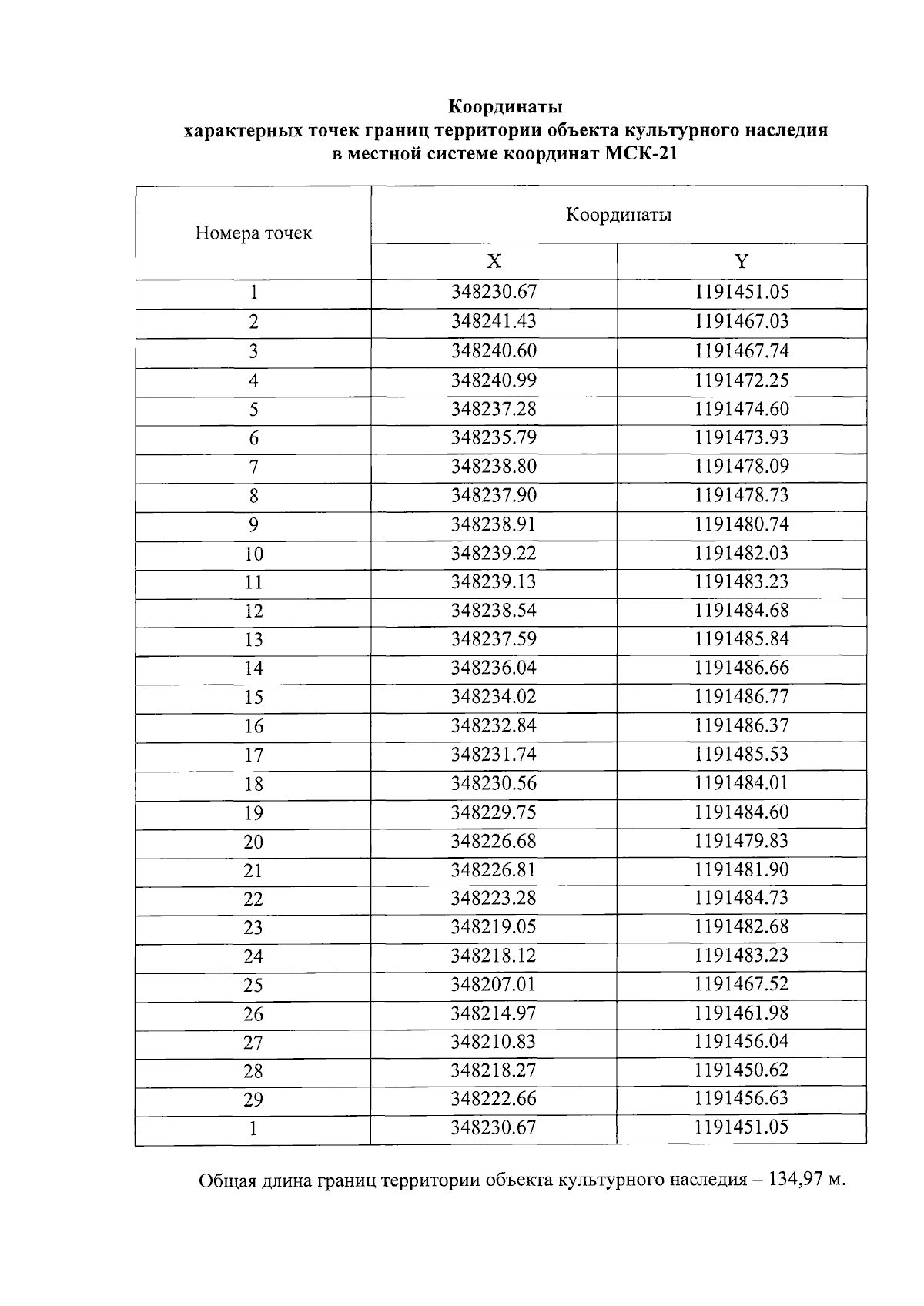
"Об утверждении границ и режима использования территории объекта культурного наследия (памятника истории и культуры) регионального (республиканского) значения "Покровская церковь", 1748 г., расположенного по адресу: Чувашская Республика, Шумерлинский муниципальный округ, с. Ходары, ул. Красная Площадь, д. 30"
(Зарегистрирован 02.11.2023 № 8865)
"Об утверждении границ и режима использования территории объекта культурного наследия (памятника истории и культуры) регионального (республиканского) значения "Покровская церковь", 1748 г., расположенного по адресу: Чувашская Республика, Шумерлинский муниципальный округ, с. Ходары, ул. Красная Площадь, д. 30"
(Зарегистрирован 02.11.2023 № 8865)
Номер опубликования: 2101202311030001
Дата опубликования:
03.11.2023
