Официальное опубликование правовых актов
ОФИЦИАЛЬНОЕ ОПУБЛИКОВАНИЕ
Приказ Министерства культуры, по делам национальностей и архивного дела Чувашской Республики от 05.12.2022 № 01-05/583
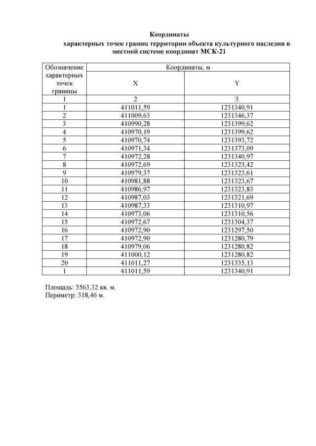
"О включении выявленного объекта культурного наследия в единый государственный реестр объектов культурного наследия (памятников истории и культуры) народов Российской Федерации в качестве объекта культурного наследия регионального (республиканского) значения "Полуротонда", 1955 г., расположенного по адресу: Чувашская Республика, г. Чебоксары, Верхняя набережная р. Волга, и утверждении границ и режимов использования его территории"
(Зарегистрирован 26.12.2022 № 8274)
Номер опубликования: 2101202212270010
Дата опубликования: 27.12.2022
Страница №3 из 4:
Увеличить