Официальное опубликование правовых актов
ОФИЦИАЛЬНОЕ ОПУБЛИКОВАНИЕ
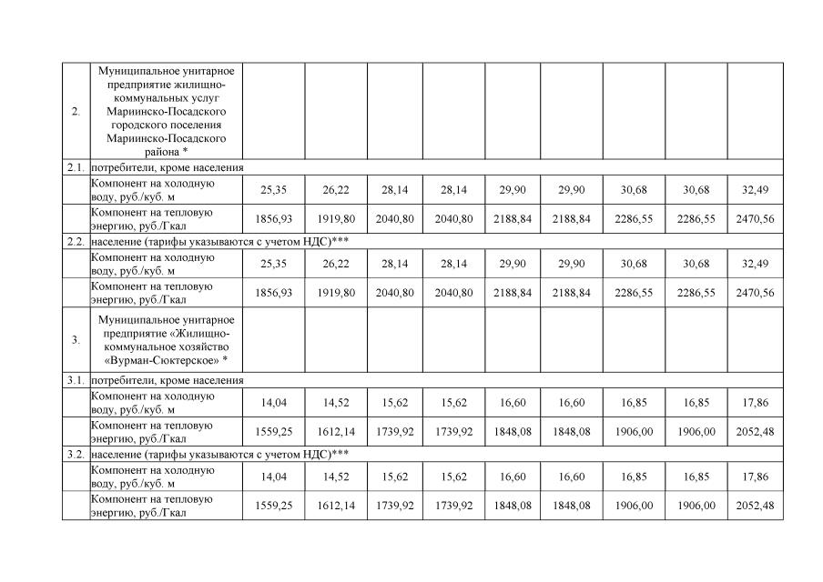
Постановление Государственной службы Чувашской Республики по конкурентной политике и тарифам от 30.11.2022 № 87-19/гв
"О внесении изменения в постановление Государственной службы Чувашской Республики по конкурентной политике и тарифам от 9 декабря 2021 г. № 74-21/гв"
(Зарегистрирован 01.12.2022 № 8205)
Номер опубликования: 2101202212010005
Дата опубликования: 01.12.2022
Страница №3 из 4:
Увеличить