Официальное опубликование правовых актов
ОФИЦИАЛЬНОЕ ОПУБЛИКОВАНИЕ
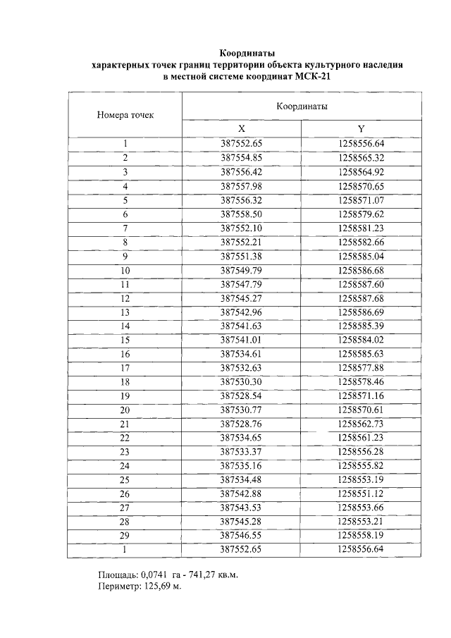
Приказ Министерства культуры, по делам национальностей и архивного дела Чувашской Республики от 28.10.2022 № 01-05/512
"Об утверждении границ и режима использования территории объекта культурного наследия (памятника истории и культуры) регионального (республиканского) значения "Введенская церковь", XIX в., расположенного по адресу: Чувашская Республика, Мариинско-Посадский район, с. Первое Чурашево, ул. Школьная, д. 16"
(Зарегистрирован 22.11.2022 № 8137)
Номер опубликования: 2101202211240002
Дата опубликования: 24.11.2022
Страница №3 из 5:
Увеличить