Официальное опубликование правовых актов
ОФИЦИАЛЬНОЕ ОПУБЛИКОВАНИЕ
Приказ Министерства природных ресурсов и экологии Чувашской Республики от 17.01.2022 № 10
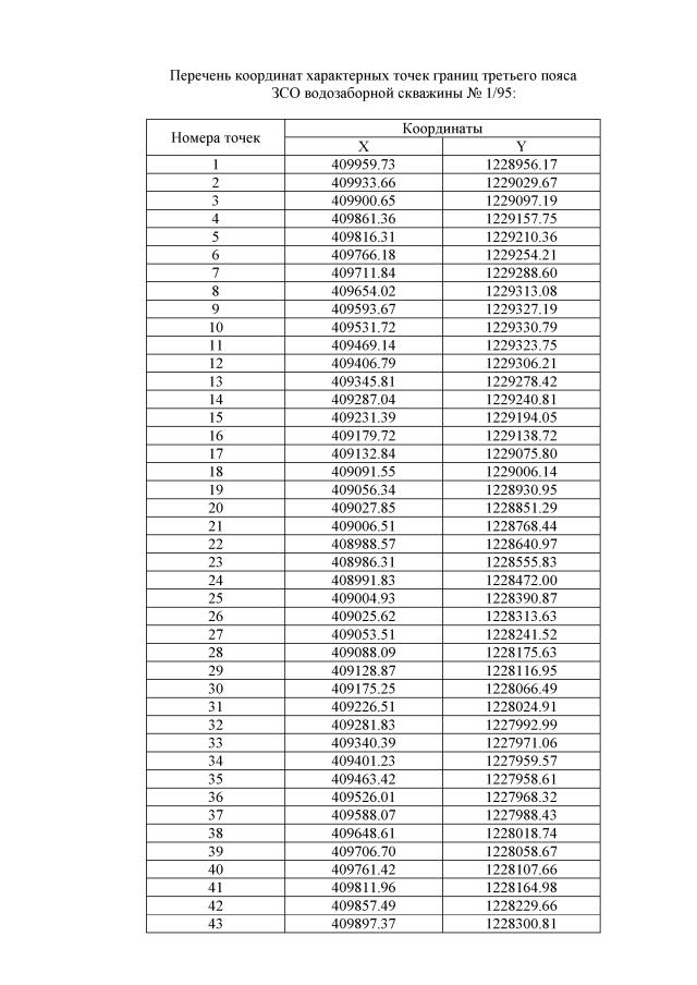
"Об установлении зоны санитарной охраны водозаборной скважины № 1/95 ООО "ЧМКФ "Вавилон", расположенной в северо-западной части г. Чебоксары"
(Зарегистрирован 26.01.2022 № 7476)
Номер опубликования: 2101202201300001
Дата опубликования: 30.01.2022
Страница №4 из 5:
Увеличить