Официальное опубликование правовых актов
ОФИЦИАЛЬНОЕ ОПУБЛИКОВАНИЕ
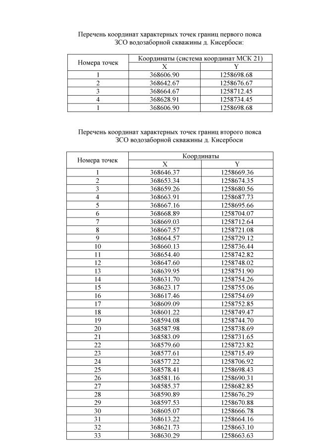
Приказ Министерства природных ресурсов и экологии Чувашской Республики от 16.12.2021 № 979
"Об установлении зон санитарной охраны подземных источников водоснабжения, расположенных на территории Игорварского сельского поселения Цивильского района Чувашской Республики"
(Зарегистрирован 12.01.2022 № 7444)
Номер опубликования: 2101202201140001
Дата опубликования: 14.01.2022
Страница №23 из 25:
Увеличить