Официальное опубликование правовых актов
ОФИЦИАЛЬНОЕ ОПУБЛИКОВАНИЕ
Приказ Министерства природных ресурсов и экологии Чувашской Республики от 29.10.2021 № 851
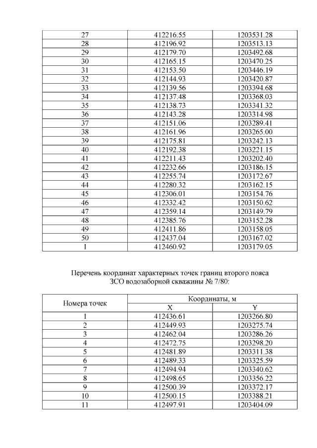
"Об установлении зон санитарной охраны водозаборных скважин № 6/72 и № 7/80, расположенных в населенном пункте Тренькино Ильинского сельского поселения Моргаушского района Чувашской Республики"
(Зарегистрирован 18.11.2021 № 7273)
Номер опубликования: 2101202111190001
Дата опубликования: 19.11.2021
Страница №5 из 8:
Увеличить