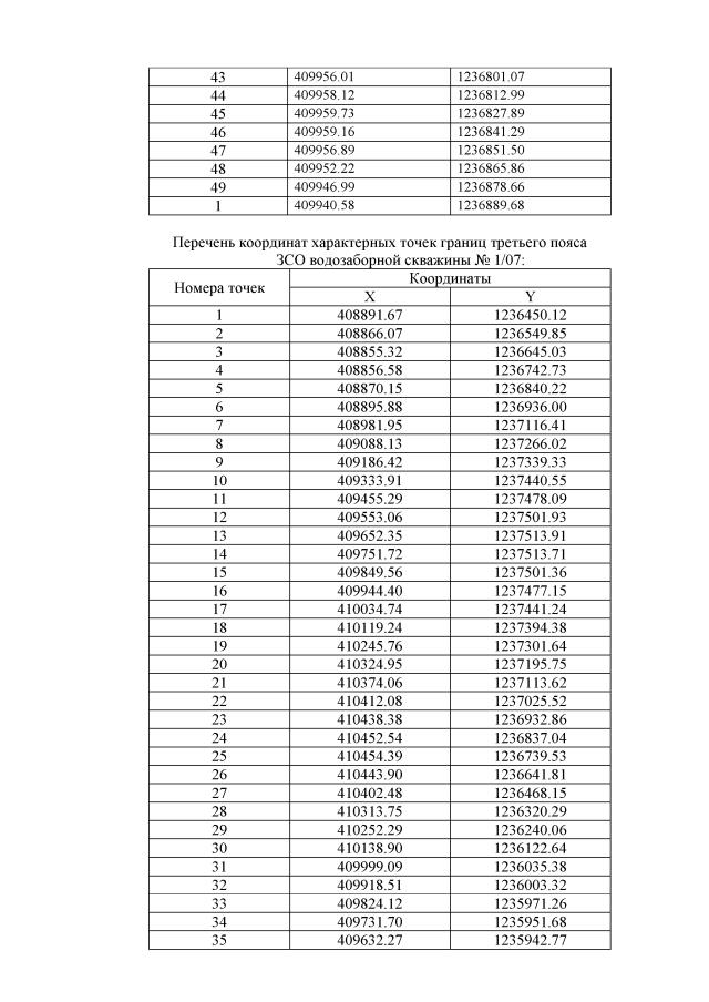
Приказ Министерства природных ресурсов и экологии Чувашской Республики от 23.08.2021 № 678
"Об установлении зоны санитарной охраны водозаборной скважины № 1-07, расположенной на территории грузового речного порта (РБУ) по Гремячевскому проезду 39, в северо-восточной части г. Чебоксары"
(Зарегистрирован 15.09.2021 № 7158)
"Об установлении зоны санитарной охраны водозаборной скважины № 1-07, расположенной на территории грузового речного порта (РБУ) по Гремячевскому проезду 39, в северо-восточной части г. Чебоксары"
(Зарегистрирован 15.09.2021 № 7158)
Номер опубликования: 2101202109200004
Дата опубликования:
20.09.2021
