Официальное опубликование правовых актов
ОФИЦИАЛЬНОЕ ОПУБЛИКОВАНИЕ
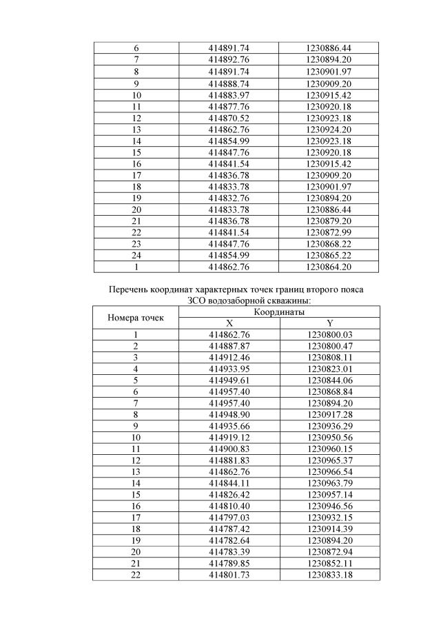
Приказ Министерства природных ресурсов и экологии Чувашской Республики от 23.08.2021 № 677
"Об установлении зоны санитарной охраны водозаборной скважины АО "Водоканал", расположенной по ул. Тальниковая в п. Сосновка (г. Чебоксары) Чувашской Республики"
(Зарегистрирован 15.09.2021 № 7157)
Номер опубликования: 2101202109200002
Дата опубликования: 20.09.2021
Страница №3 из 5:
Увеличить