Официальное опубликование правовых актов
ОФИЦИАЛЬНОЕ ОПУБЛИКОВАНИЕ
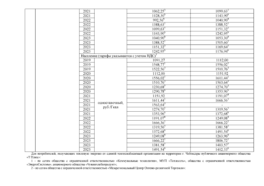
Постановление Государственной службы Чувашской Республики по конкурентной политике и тарифам от 03.08.2021 № 16-10/т
"О внесении изменений в постановление Государственной службы Чувашской Республики по конкурентной политике и тарифам от 14 декабря 2018 г. № 134-32/т"
(Зарегистрирован 11.08.2021 № 7090)
Номер опубликования: 2101202108110003
Дата опубликования: 11.08.2021
Страница №4 из 5:
Увеличить