Официальное опубликование правовых актов
ОФИЦИАЛЬНОЕ ОПУБЛИКОВАНИЕ
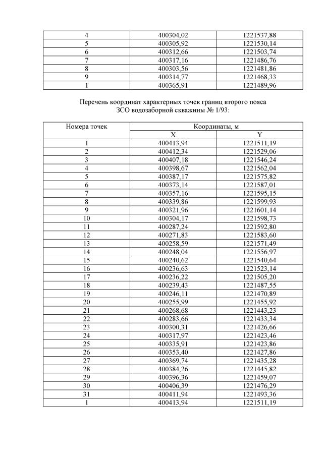
Приказ Министерства природных ресурсов и экологии Чувашской Республики от 11.06.2021 № 432
"Об установлении зон санитарной охраны водозаборных скважин ООО фирма "Вега", расположенных в д. Хозандайкино Чебоксарского района Чувашской Республики"
(Зарегистрирован 06.07.2021 № 7022)
Номер опубликования: 2101202107070002
Дата опубликования: 07.07.2021
Страница №3 из 7:
Увеличить