Официальное опубликование правовых актов
ОФИЦИАЛЬНОЕ ОПУБЛИКОВАНИЕ
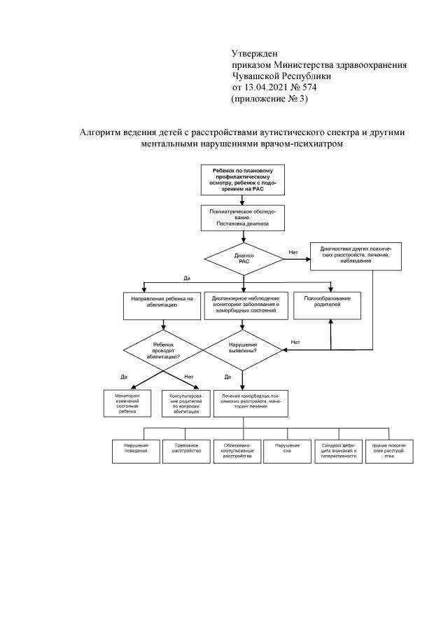
Приказ Министерства здравоохранения Чувашской Республики от 13.04.2021 № 574
"Об организации ранней помощи детям с расстройствами аутистического спектра и другими ментальными нарушениями в Чувашской Республике"
(Зарегистрирован 28.04.2021 № 6926)
Номер опубликования: 2101202104280002
Дата опубликования: 28.04.2021
Страница №7 из 8:
Увеличить