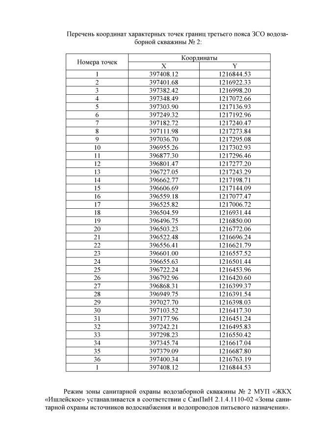
Приказ Министерства природных ресурсов и экологии Чувашской Республики от 26.03.2021 № 217
"Об установлении зоны санитарной охраны водозаборной скважины № 2 МУП "ЖКХ "Ишлейское"
(Зарегистрирован 07.04.2021 № 6903)
"Об установлении зоны санитарной охраны водозаборной скважины № 2 МУП "ЖКХ "Ишлейское"
(Зарегистрирован 07.04.2021 № 6903)
Номер опубликования: 2101202104070007
Дата опубликования:
07.04.2021
