Официальное опубликование правовых актов
ОФИЦИАЛЬНОЕ ОПУБЛИКОВАНИЕ
Приказ Министерства природных ресурсов и экологии Чувашской Республики от 26.03.2021 № 218
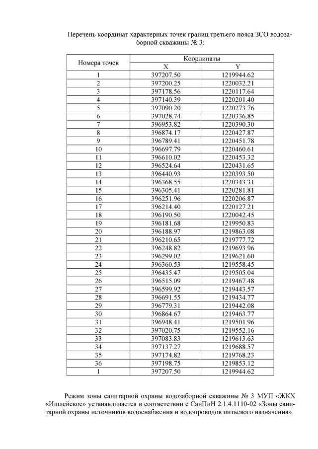
"Об установлении зоны санитарной охраны водозаборной скважины № 3 МУП "ЖКХ "Ишлейское"
(Зарегистрирован 07.04.2021 № 6904)
Номер опубликования: 2101202104070006
Дата опубликования: 07.04.2021
Страница №4 из 4:
Увеличить