Приказ Министерства природных ресурсов и экологии Чувашской Республики от 26.03.2021 № 216
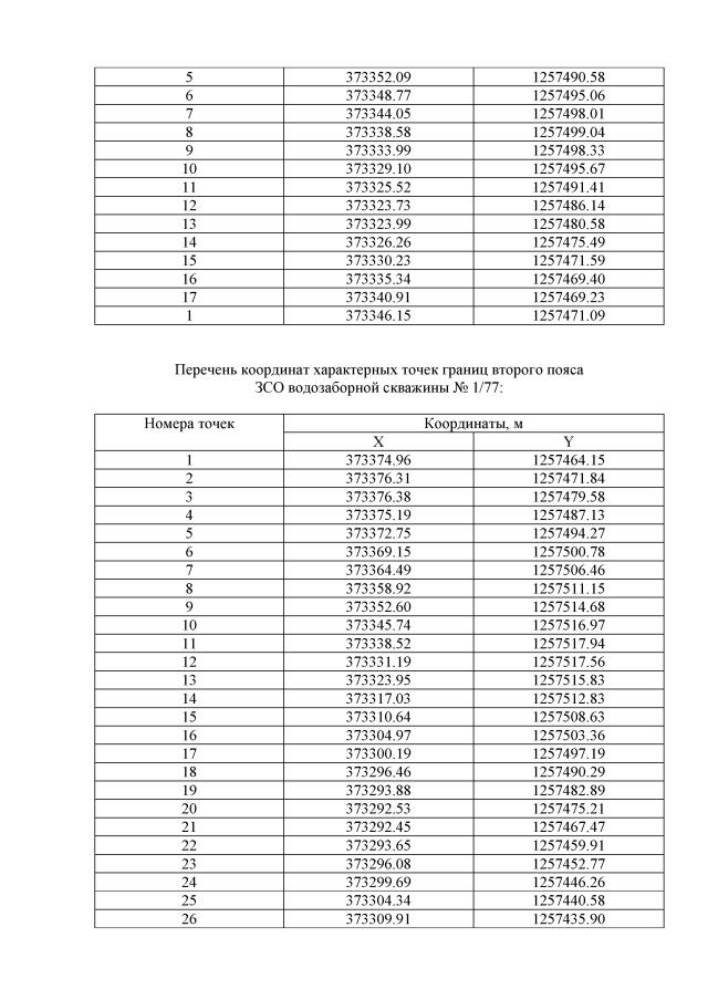
"Об установлении зон санитарной охраны водозаборных скважин № 1/73, № 2/89, № 1/77, № 1/80, № 1/63, расположенных в Чиричкасинском сельском поселении Цивильского района Чувашской Республики"
(Зарегистрирован 07.04.2021 № 6902)
"Об установлении зон санитарной охраны водозаборных скважин № 1/73, № 2/89, № 1/77, № 1/80, № 1/63, расположенных в Чиричкасинском сельском поселении Цивильского района Чувашской Республики"
(Зарегистрирован 07.04.2021 № 6902)
Номер опубликования: 2101202104070005
Дата опубликования:
07.04.2021
