Официальное опубликование правовых актов
ОФИЦИАЛЬНОЕ ОПУБЛИКОВАНИЕ
Приказ Министерства культуры, по делам национальностей и архивного дела Чувашской Республики от 27.01.2021 № 01-05/100
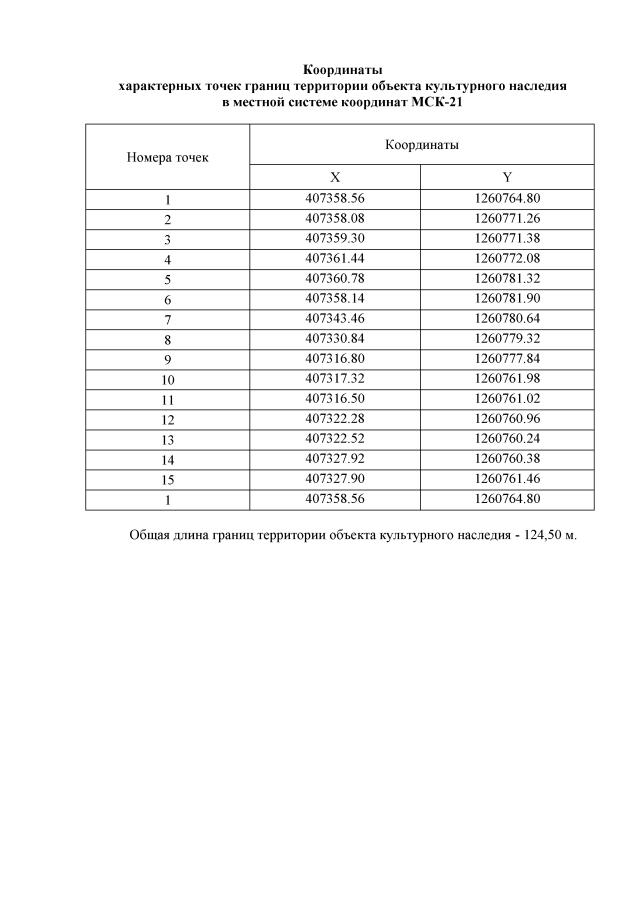
"Об утверждении границ и режима использования территории объекта культурного наследия (памятника истории и культуры) регионального (республиканского) значения "Деревянный одноэтажный жилой дом, II пол. XIX в.", расположенного по адресу: Чувашская Республика, Мариинско-Посадский район, г. Мариинский Посад, ул. Набережная, д. 10"
(Зарегистрирован 18.02.2021 № 6813)
Номер опубликования: 2101202102190005
Дата опубликования: 19.02.2021
Страница №3 из 5:
Увеличить