Приказ Министерства культуры, по делам национальностей и архивного дела Чувашской Республики от 19.01.2021 № 01-05/45
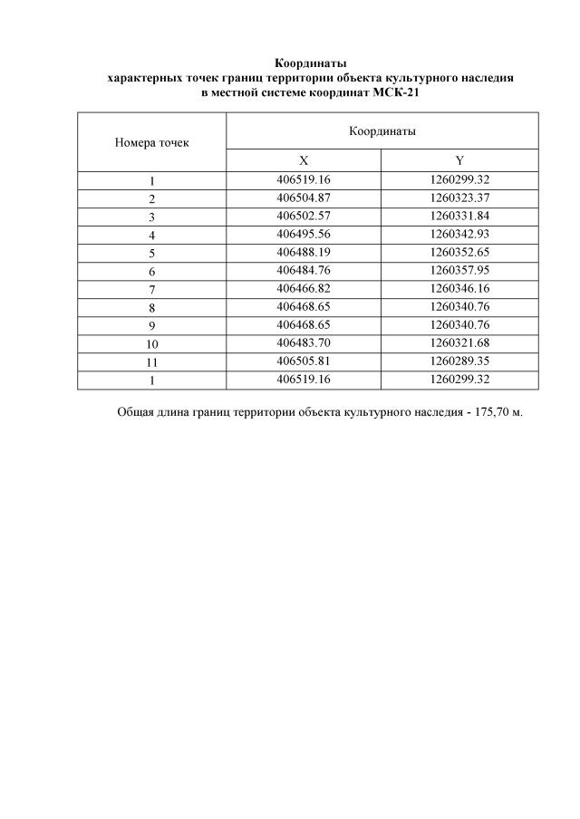
"Об утверждении границ и режима использования территории объекта культурного наследия (памятника истории и культуры) регионального (республиканского) значения "Деревянный одноэтажный дом, в котором жил композитор А.Н. Тогаев, начало XX в.", расположенного по адресу: Чувашская Республика, Мариинско-Посадский район, г. Мариинский Посад, ул. Советская, д. 8"
(Зарегистрирован 11.02.2021 № 6765)
"Об утверждении границ и режима использования территории объекта культурного наследия (памятника истории и культуры) регионального (республиканского) значения "Деревянный одноэтажный дом, в котором жил композитор А.Н. Тогаев, начало XX в.", расположенного по адресу: Чувашская Республика, Мариинско-Посадский район, г. Мариинский Посад, ул. Советская, д. 8"
(Зарегистрирован 11.02.2021 № 6765)
Номер опубликования: 2101202102160019
Дата опубликования:
16.02.2021
