Официальное опубликование правовых актов
ОФИЦИАЛЬНОЕ ОПУБЛИКОВАНИЕ
Приказ Министерства культуры, по делам национальностей и архивного дела Чувашской Республики от 19.01.2021 № 01-05/44
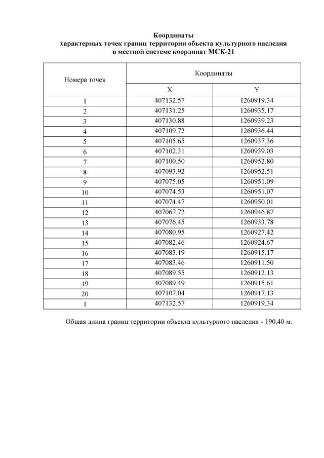
"Об утверждении границ и режима использования территории объекта культурного наследия (памятника истории и культуры) регионального (республиканского) значения "Каменный одноэтажный дом, II пол. XIX г.", расположенного по адресу: Чувашская Республика, Мариинско-Посадский район, г. Мариинский Посад, ул. Казанская, д. 2/7"
(Зарегистрирован 10.02.2021 № 6762)
Номер опубликования: 2101202102160018
Дата опубликования: 16.02.2021
Страница №3 из 5:
Увеличить