Официальное опубликование правовых актов
ОФИЦИАЛЬНОЕ ОПУБЛИКОВАНИЕ
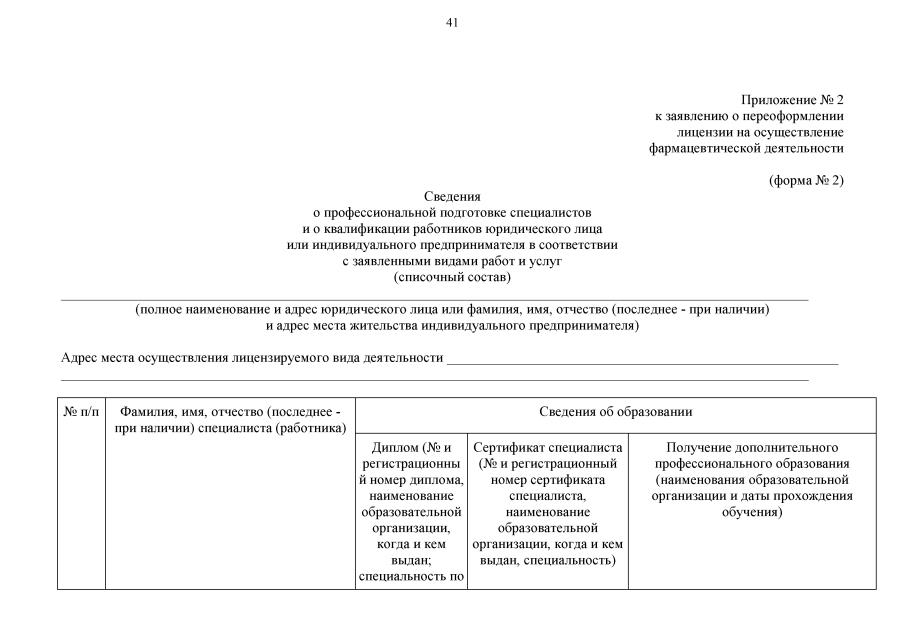
Приказ Министерства здравоохранения Чувашской Республики от 25.01.2021 № 61
"О внесении изменений в приказ Министерства здравоохранения Чувашской Республики от 7 июня 2016 г. № 997"
(Зарегистрирован 02.02.2021 № 6713)
Номер опубликования: 2101202102020007
Дата опубликования: 02.02.2021
Страница №41 из 51:
Увеличить