Официальное опубликование правовых актов
ОФИЦИАЛЬНОЕ ОПУБЛИКОВАНИЕ
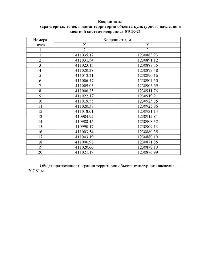
Приказ Министерства культуры, по делам национальностей и архивного дела Чувашской Республики от 23.12.2020 № 01-07/957
"О включении выявленных объектов культурного наследия в единый государственный реестр объектов культурного наследия (памятников истории и культуры) народов Российской Федерации в качестве объектов культурного наследия регионального (республиканского) значения, об утверждении границ и режимов использования их территорий"
(Зарегистрирован 21.01.2021 № 6683)
Номер опубликования: 2101202101270002
Дата опубликования: 27.01.2021
Страница №11 из 33:
Увеличить