Официальное опубликование правовых актов
ОФИЦИАЛЬНОЕ ОПУБЛИКОВАНИЕ
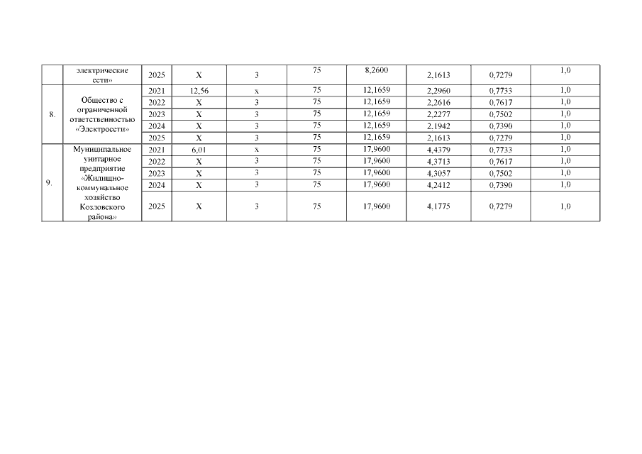
Постановление Государственной службы Чувашской Республики по конкурентной политике и тарифам от 28.12.2020 № 95-28/э
"Об установлении индивидуальных тарифов на услуги по передаче электрической энергии для взаиморасчетов между сетевыми организациями на территории Чувашской Республики на 2021-2025 годы"
(Зарегистрирован 15.01.2021 № 6667)
Номер опубликования: 2101202101150004
Дата опубликования: 15.01.2021
Страница №4 из 15:
Увеличить