Официальное опубликование правовых актов
ОФИЦИАЛЬНОЕ ОПУБЛИКОВАНИЕ
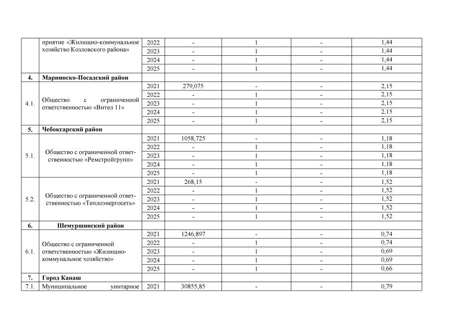
Постановление Государственной службы Чувашской Республики по конкурентной политике и тарифам от 27.11.2020 № 61-20-22/в
"Об установлении долгосрочных параметров регулирования тарифов и тарифов в сфере холодного водоснабжения и водоотведения на 2021-2025 годы"
(Зарегистрирован 10.12.2020 № 6500)
Номер опубликования: 2101202012100001
Дата опубликования: 10.12.2020
Страница №16 из 21:
Увеличить