Официальное опубликование правовых актов
ОФИЦИАЛЬНОЕ ОПУБЛИКОВАНИЕ
Приказ Министерства природных ресурсов и экологии Чувашской Республики от 22.09.2020 № 750
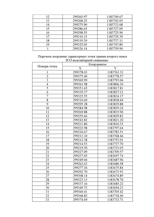
"Об установлении границ и режима зоны санитарной охраны водозаборной скважины, расположенной на территории с. Сиява Порецкого района Чувашской Республики"
(Зарегистрирован 15.10.2020 № 6342)
Номер опубликования: 2101202010190002
Дата опубликования: 19.10.2020
Страница №3 из 8:
Увеличить