Официальное опубликование правовых актов
ОФИЦИАЛЬНОЕ ОПУБЛИКОВАНИЕ
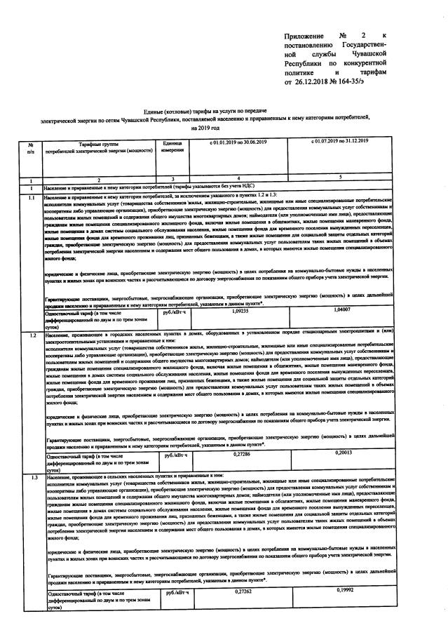
Постановление Государственной службы Чувашской Республики по конкурентной политике и тарифам от 26.12.2018 № 164-35/э
"Об установлении единых (котловых) тарифов на услуги по передаче электрической энергии на территории Чувашской Республики на 2019 год"
(Зарегистрирован 28.12.2018 № 5040)
Номер опубликования: 2101201812290019
Дата опубликования: 29.12.2018
Страница №6 из 7:
Увеличить