Официальное опубликование правовых актов
ОФИЦИАЛЬНОЕ ОПУБЛИКОВАНИЕ
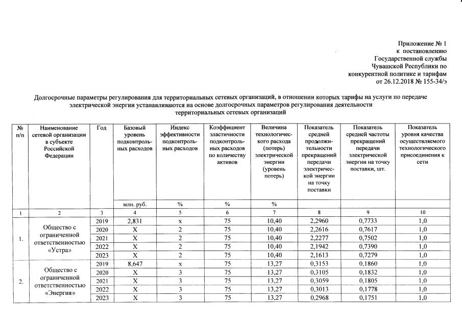
Постановление Государственной службы Чувашской Республики по конкурентной политике и тарифам от 26.12.2018 № 155-34/э
"Об установлении индивидуальных тарифов на услуги по передаче электрической энергии для взаиморасчетов между сетевыми организациями на территории Чувашской Республики на 2019-2023 годы"
(Зарегистрирован 28.12.2018 № 5038)
Номер опубликования: 2101201812290010
Дата опубликования: 29.12.2018
Страница №2 из 4:
Увеличить