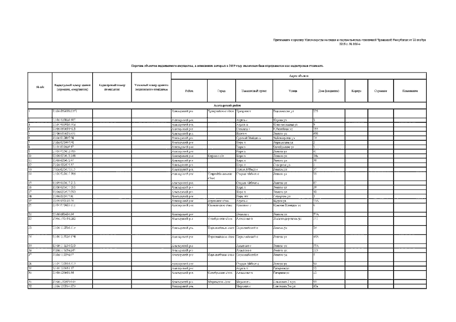
Приказ Министерства юстиции и имущественных отношений Чувашской Республики от 22.11.2018 № 166-о
"Об утверждении Перечня объектов недвижимого имущества, в отношении которых в 2019 году налоговая база определяется как кадастровая стоимость"
(Зарегистрирован 23.11.2018 № 4829)
"Об утверждении Перечня объектов недвижимого имущества, в отношении которых в 2019 году налоговая база определяется как кадастровая стоимость"
(Зарегистрирован 23.11.2018 № 4829)
Номер опубликования: 2101201811280010
Дата опубликования:
28.11.2018
