Официальное опубликование правовых актов
ОФИЦИАЛЬНОЕ ОПУБЛИКОВАНИЕ
Приказ Государственной ветеринарной службы Чувашской Республики от 30.07.2018 № 199
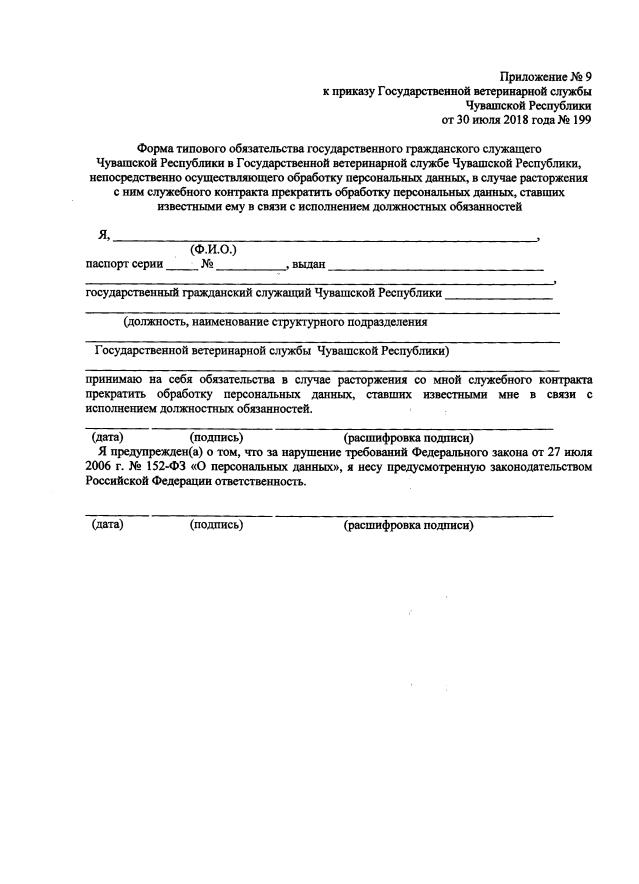
"О реализации мер, направленных на обеспечение выполнения обязанностей, предусмотренных Федеральным законом "О персональных данных" и принятыми в соответствии с ним нормативными правовыми актами, Государственной ветеринарной службой Чувашской Республики"
(Зарегистрирован 03.08.2018 № 4637)
Номер опубликования: 2101201808030007
Дата опубликования: 03.08.2018
Страница №25 из 28:
Увеличить