Официальное опубликование правовых актов
ОФИЦИАЛЬНОЕ ОПУБЛИКОВАНИЕ
Приказ Министерства культуры, по делам национальностей и архивного дела Чувашской Республики от 26.06.2018 № 01-07/274
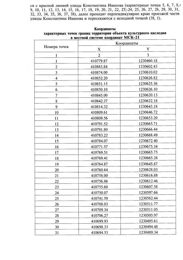
"Об утверждении границ территории объекта культурного наследия (памятника истории и культуры) регионального (республиканского) значения "Здание ликеро-водочного завода "Чебоксарский", 1900 г.", расположенного по адресу: Чувашская Республика, г. Чебоксары, улица Константина Иванова, д. 63"
(Зарегистрирован 16.07.2018 № 4593)
Номер опубликования: 2101201807170004
Дата опубликования: 17.07.2018
Страница №3 из 4:
Увеличить