Официальное опубликование правовых актов
ОФИЦИАЛЬНОЕ ОПУБЛИКОВАНИЕ
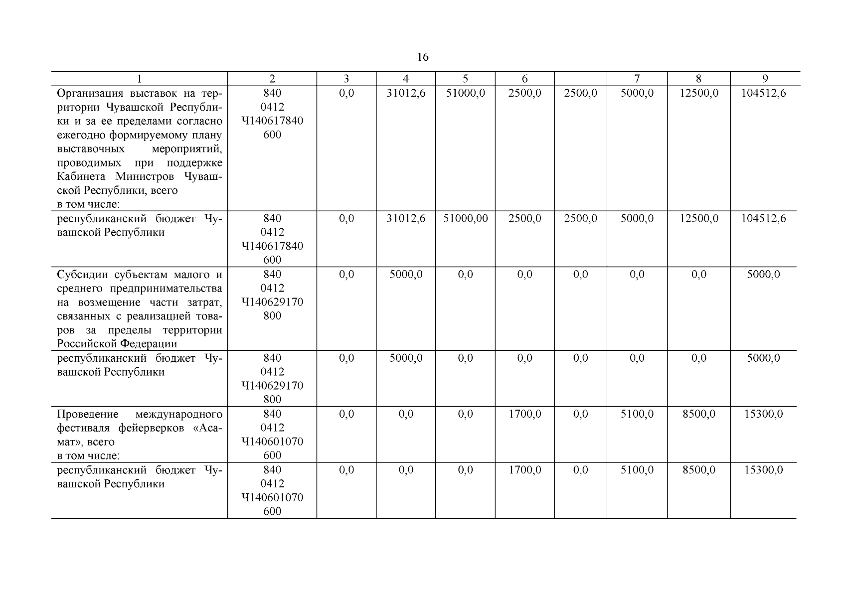
Постановление Кабинета Министров Чувашской Республики от 22.04.2026 № 221
"О внесении изменений в государственную программу Чувашской Республики "Экономическое развитие Чувашской Республики"
Номер опубликования: 2100202604230005
Дата опубликования: 23.04.2026
Страница №17 из 18:
Увеличить