Официальное опубликование правовых актов
ОФИЦИАЛЬНОЕ ОПУБЛИКОВАНИЕ
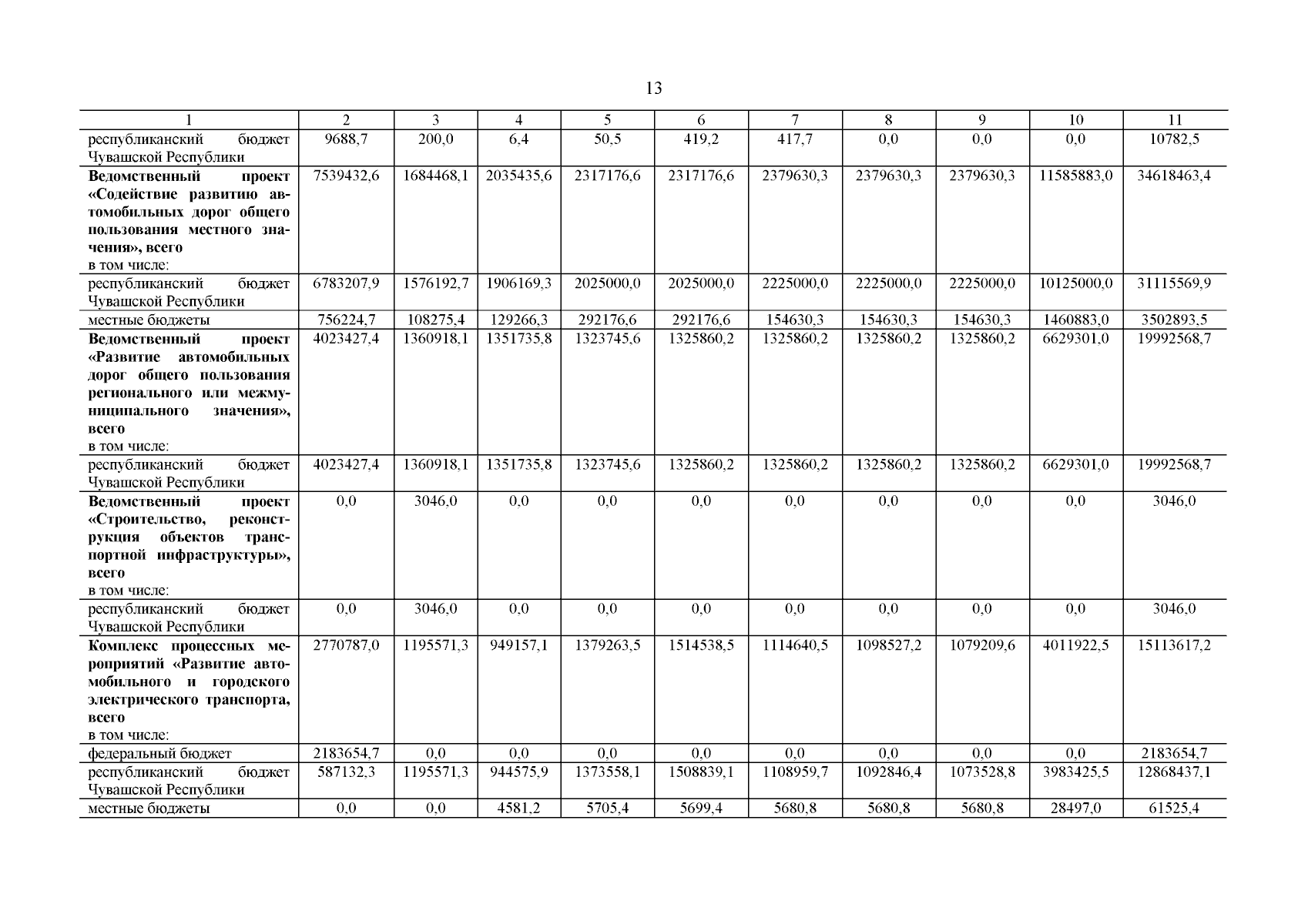
Постановление Кабинета Министров Чувашской Республики от 11.02.2026 № 64
"О внесении изменений в государственную программу Чувашской Республики "Развитие транспортной системы Чувашской Республики"
Номер опубликования: 2100202602120002
Дата опубликования: 12.02.2026
Страница №14 из 63:
Увеличить