Официальное опубликование правовых актов
ОФИЦИАЛЬНОЕ ОПУБЛИКОВАНИЕ
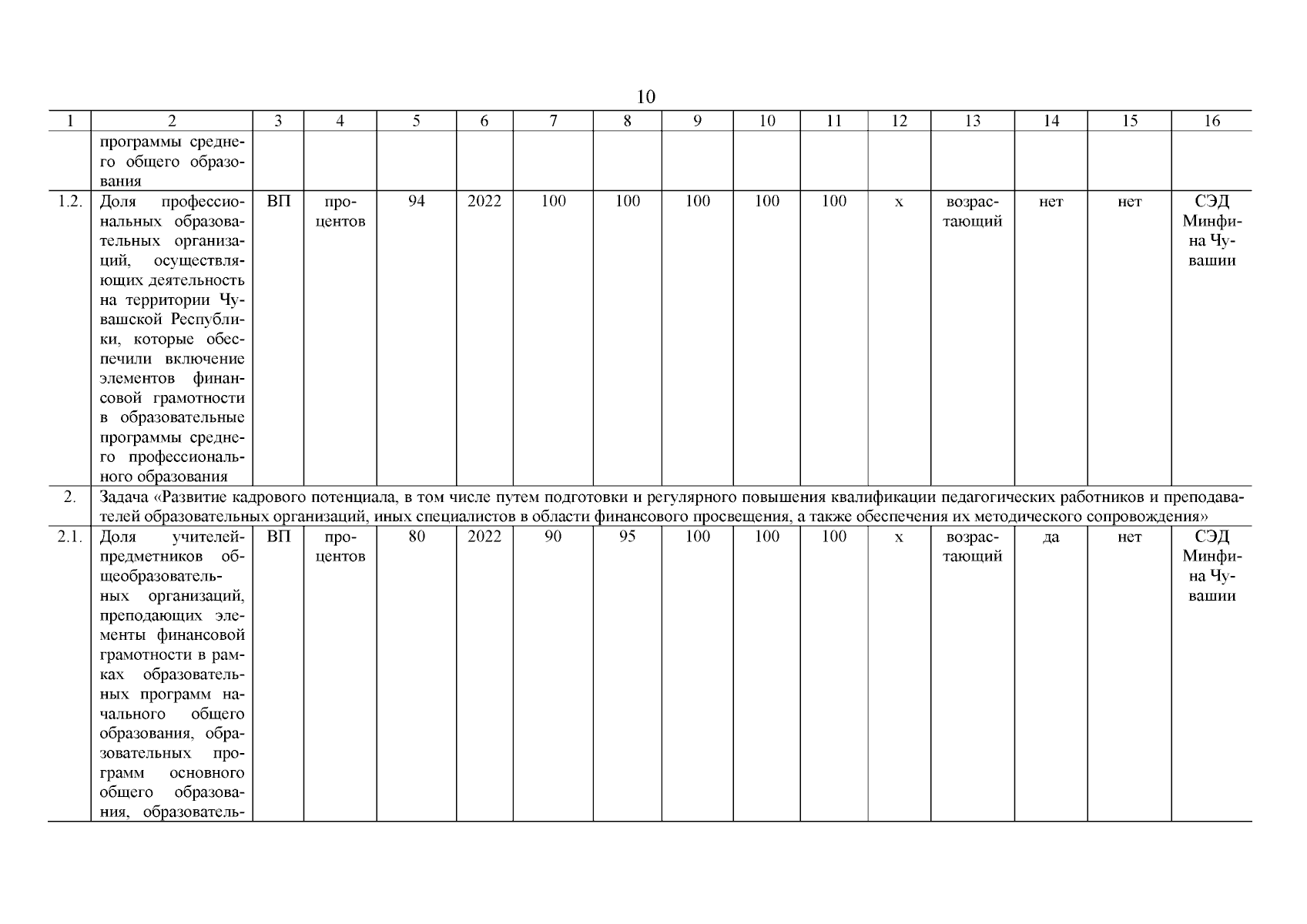
Постановление Кабинета Министров Чувашской Республики от 23.01.2026 № 13
"О внесении изменений в государственную программу Чувашской Республики "Управление общественными финансами и государственным долгом Чувашской Республики"
Номер опубликования: 2100202601260001
Дата опубликования: 26.01.2026
Страница №11 из 104:
Увеличить