Официальное опубликование правовых актов
ОФИЦИАЛЬНОЕ ОПУБЛИКОВАНИЕ
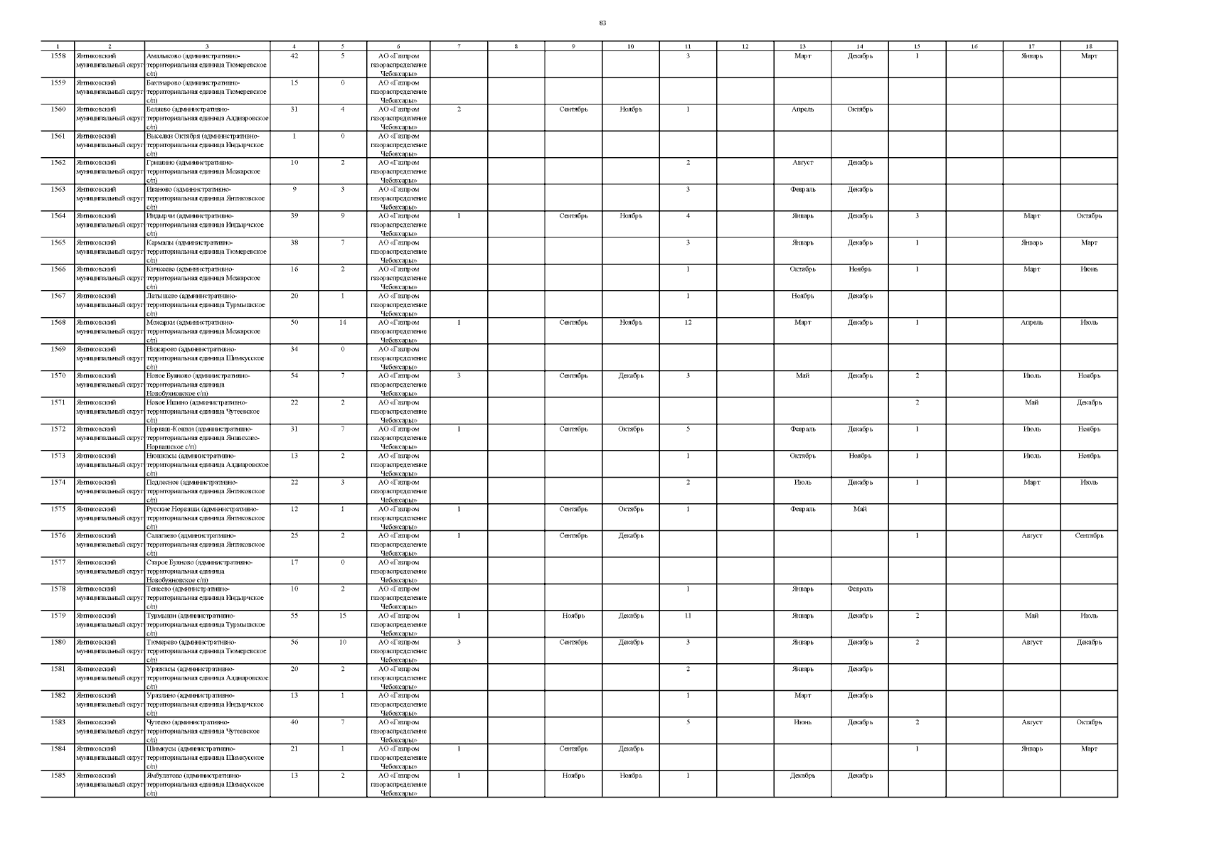
Постановление Кабинета Министров Чувашской Республики от 25.12.2025 № 778
"О внесении изменений в постановление Кабинета Министров Чувашской Республики от 28 декабря 2024 г. № 806"
Номер опубликования: 2100202512260015
Дата опубликования: 26.12.2025
Страница №84 из 1535:
Увеличить