Официальное опубликование правовых актов
ОФИЦИАЛЬНОЕ ОПУБЛИКОВАНИЕ
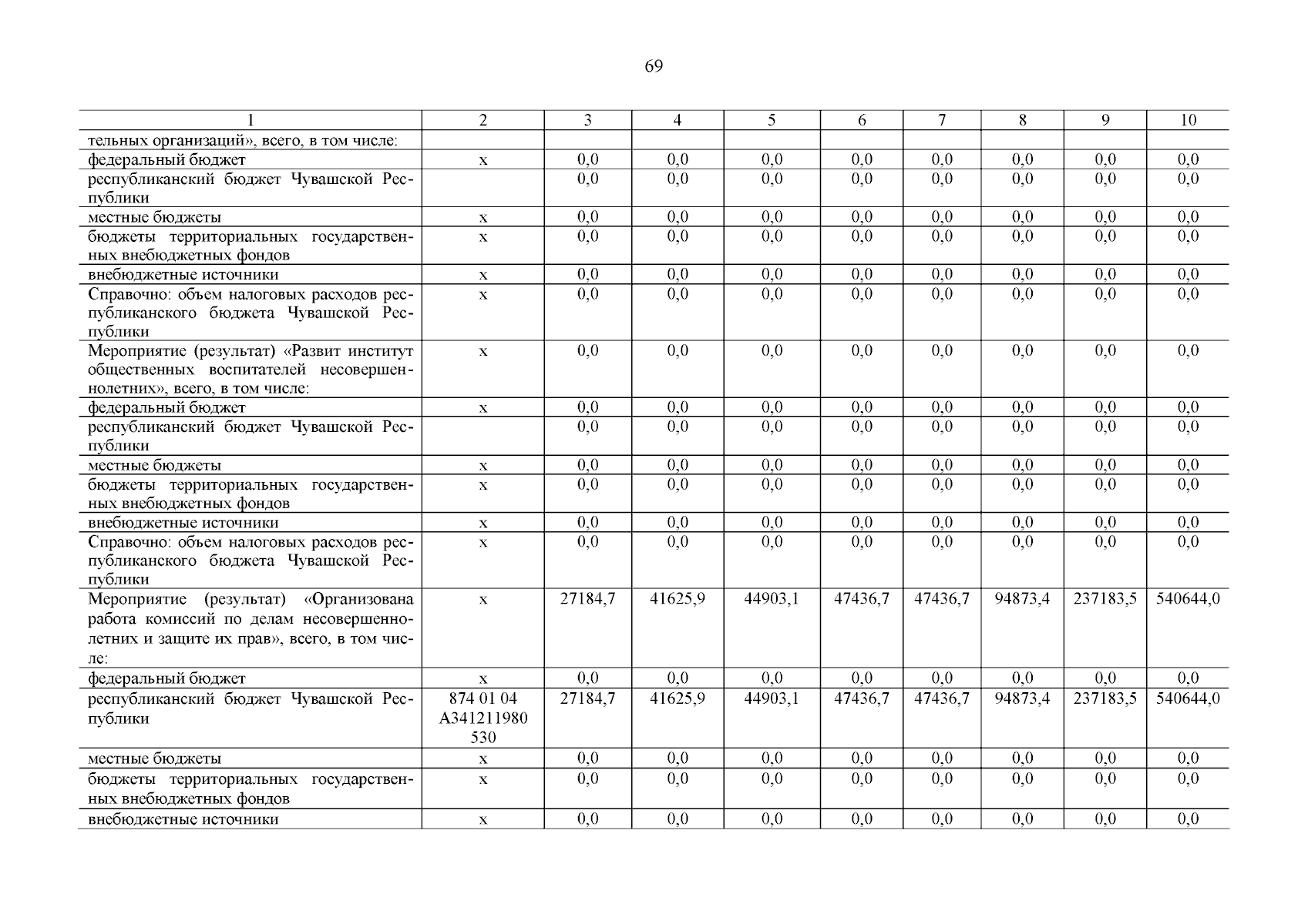
Постановление Кабинета Министров Чувашской Республики от 12.12.2025 № 715
"О внесении изменений в государственную программу Чувашской Республики "Обеспечение общественного порядка и противодействие преступности"
Номер опубликования: 2100202512150005
Дата опубликования: 15.12.2025
Страница №70 из 72:
Увеличить